Korea Planning Association
[ Article ]
Journal of Korea Planning Association - Vol. 60, No. 4, pp.173-187
ISSN: 1226-7147 (Print) 2383-9171 (Online)
Print publication date 31 Aug 2025
Received 08 Apr 2025 Reviewed 11 May 2025 Accepted 11 May 2025 Revised 25 Jun 2025
DOI: https://doi.org/10.17208/jkpa.2025.08.60.4.173

빅데이터 기반 부산 관광지 유형화 및 지출 패턴 분석 : 네트워크 연계성과 주변 맥락 중심으로

박재원** ; 오지환*** ; 손수빈**** ; 구병진***** ; 박지한******
Big Data-Driven Classification of Tourist Destination and Expenditure Patterns in Busan Metropolitan Area : Emphasizing Network Connectivity and Surrounding Context
Park, Jaewon** ; Oh, Jihwan*** ; Son, Subin**** ; Goo, Byungjin***** ; Park, Jihan******
**Master’s Student, Department of Urban Planning and Engineering, Pusan National University (First Author) pjw1138@pusan.ac.kr
***B.S., Department of Urban Planning and Engineering, Pusan National University wlghks4505@pusan.ac.kr
****Undergraduate Student, Department of Urban Planning and Engineering, Pusan National University ssb3475@pusan.ac.kr
*****Undergraduate Student, Department of Urban Planning and Engineering, Pusan National University goobj0217@gmail.com
******Ph.D. Student, Department of Urban Planning and Engineering, Pusan National University (Corresponding Author) jihan6834@pusan.ac.kr

Correspondence to: ******Ph.D. Student, Department of Urban Planning and Engineering, Pusan National University (Corresponding Author: jihan6834@pusan.ac.kr)

Abstract

This study classifies tourist destinations in terms of their interconnectivity via network analysis and surrounding environmental factors. The 242 tourist destinations in the Busan metropolitan area and their surrounding 500m radius area were defined as spatial units, and the 2023 database was used. Using big data, such as POI data, package tour route networks, and Google Maps reviews, tourist destinations were classified based on indicators such as hot-place ratio, average centrality, and satisfaction score. K-means clustering identified four groups in a 2×2 framework (defined by tourist destination and surrounding context): Hot-Place Dense · Independent Stay, Hot-Place Dense · Global Connectivity-Based Transit, Hot-Place Sparse · Independent Stay, Hot-Place Sparse · Global Connectivity-Based Transit. A one-way analysis of variance was conducted to examine differences in industry-specific tourism expenditure patterns across Si-gun-gu based on the distribution of identified tourist destination types. With more “Global Connectivity-Based Transit,” Si-gun-gu showed higher expenditures, while those with more “Independent Stay” destinations exhibited lower spending levels. We propose a novel tourist destination classification framework that incorporates interconnectivity and the surrounding context. This study challenges the conventional view of tourist destinations as isolated spaces. Furthermore, the need for differentiated, connectivity-based management strategies that reflect surrounding contexts and spending patterns is underscored.

Keywords:

Regional Tourism Revitalization, Tourism Expenditure, Clustering Analysis, One-way ANOVA, Network Centrality

키워드:

지역관광 활성화, 관광지출, 군집분석, 일원배치분산분석, 네트워크 중심성

Ⅰ. 서 론

관광산업은 수십 년 전부터 지역 개발과 성장에 중요한 역할을 한다고 인식되었다(Calero and Turner, 2020). 그러나 관광의 긍정적인 경제적·문화적 영향에도 불구하고, 지역 간 관광객 분포의 불균형은 여전히 문제로 남아 있다. 2023년 지역별 관광 현황에 따르면(한국관광 데이터랩, 2024), 전체 관광객의 약 24.4%가 경기도를 방문하며 18.3%는 서울을 방문하는 것으로 나타났다. 반면, 부산(5.7%)을 비롯한 나머지 지역들은 한 자릿수 비율에 머물러 있다. 특히, 외국인 관광객의 약 68.3%가 수도권을 방문했으며, 이는 외국인 관광객에게 수도권 집중 현상이 더욱 심하게 드러남을 의미한다.

부산은 한국을 대표하는 해양 도시로서, 다양한 문화적·자연적 관광자원뿐만 아니라 국제공항, KTX 등과 같은 교통환경이 잘 갖추어져 있다(신기혁, 2015). 관광지로서의 가능성은 크지만, 부산 내 볼거리와 즐길 거리가 일부 지역에 편중되어 관광객의 재방문 의사가 낮은 것으로 나타났다(부산관광공사, 2024). 이는 해운대해수욕장, 감천 문화마을 등 몇몇 주요 관광지에만 관광객이 과도하게 집중되고 일회성 방문에 그치는 문제로 드러난다. 이러한 지역 내 쏠림 현상으로 인해 지역경제 활성화에 미치는 실질적 효과는 제한적이다(이순자 외, 2020). 따라서 획일적인 관광 활성화 정책을 넘어, 부산의 고유한 관광자원을 효과적으로 활용하고 관광객의 만족도를 강화할 수 있는 맞춤형 전략의 수립이 필요하다.

기존 연구에서는 방문자 수, 지역 축제 및 관광 프로그램 수, 접근성과 같은 다양한 지표를 활용하여 관광지를 유형화했다(이순자 외, 2020). 최근에는 청년층과 외국인 관광객의 중요성이 강조되며, 이들의 선호와 소비 행태, 이동 패턴을 심층적으로 분석하는 연구가 활발히 이루어지고 있다(신기혁, 2015; Caber et al., 2020). 특히, 디지털 플랫폼을 활용하여 관광객의 실시간 행동과 만족도를 분석하고, 이를 통해 관광지의 지속 가능성을 평가하려는 시도가 있다(Takahashi et al., 2020; Liu et al., 2020). 반면, 선행연구는 개별 관광지의 특성에 집중하는 경향이 있어 관광지 간 연계성과 주변 환경의 영향을 충분히 고려하지 못한 한계가 있다(Zhong et al., 2019). 본 연구는 관광지와 이를 포함한 주변 지역의 특성을 다층 수준으로 고려하면서도 관광지 간 연계성을 명시적으로 식별하여 이러한 한계를 극복하고자 했다.

본 연구는 부산 관광지를 대상으로 주변 환경과 관광지 간 연계성을 함께 고려하여 유형화를 수행하고, 유형별 관광지출 차이를 탐색하는 것을 목적으로 한다. 총 242개의 부산 관광지를 대상으로 2023년 관광객의 이동 패턴, 체류시간, 소비 행태, 관광 패키지 경로, Google Map 평점 등의 자료를 활용했다. 이는 개별 관광지를 독립적으로 분석하던 기존 관행에 새로운 관점을 제시한다. 특히, 인접한 관광지에 대해 획일적인 관광 전략의 수립이 일반적인데, 이는 인접한 관광지 간에 상호작용이 활발하다는 전제에 기반한다. 반면, 본 연구는 실제 상호 연결성을 고려했을 때, 지리적으로 인접한 관광지 간에도 유형이 구분될 수 있어 기존 계획 관행이 비효율적일 수 있음을 보여준다. 또한, 유형별 관광 지출에서 유의미한 차이가 확인된 만큼 맞춤형 관광지 활성화 및 지역 개발 전략의 필요성이 제기된다.


Ⅱ. 선행연구 검토

1. 관광지의 정의

관광지는 여러 차원에서 정의될 수 있다. 선행연구에서는 물리적 여건, 서비스, 인식 등 다양한 기준을 통해 관광지를 설명한다. 이순자 외(2020)는 시설과 콘텐츠 및 프로그램 등의 관광상품을 보유하고 관련 서비스를 제공하는 일정한 공간을 관광지로 정의하는데, 이는 물리적 여건과 서비스를 고려한 정의이다. 한편, 김범진 외(2014)는 전반적인 인상으로부터 형성된 이미지에 근거해 선택된 공간을 관광지로 정의하며, Fakeye and Crompton(1991)은 관광객이 목적지에 대해 갖고 있는 신념, 생각, 인상의 총합을 관광지로 설명한다. 이러한 정의들은 관광객의 인식이라는 차원에서 나온 것이다. 이 외에도 윤주 외(2021)는 지역 경제 활성화 등 관광 행위가 지역에 미치는 영향을 고려하여 관광지를 정의한다. 이처럼 관광지는 정의되는 차원과 수준에 따라 그 개념이 달라진다.

여러 선행연구에서 관광지를 개념적으로 다양하게 정의하지만, 자료 구득의 편의성 등을 고려하여 다수의 연구에서는 법적 정의를 사용한다(e.g., 김범진 외(2014); 이순자 외, 2020; 윤주·김향자, 2022; 한국은행, 2023). 「관광진흥법」 제2조에서는 관광지를 ‘자연적 또는 문화적 관광자원을 갖추고 관광객을 위한 기본적인 편의시설을 설치하는 지역’으로 규정한다. 이에 근거하여 문화체육관광부가 지정한 관광지는 전국적으로 225개(2024년 5월 기준)이다. 부산에서는 ‘기장도예촌’, ‘용호씨사이드’, ‘금련산 청소년수련원’, ‘태종대’, ‘해운대’ 총 5곳이 관광지로 지정되었다.

반면, 본 연구는 사람을 끌어당겨 체류·소비·경험이 응집되는 공간적 결절점으로 관광지를 정의한다. 기존의 법적 정의는 편의시설이나 자연·문화 자원 등 물리적 요소에 집중함으로써, 관광객의 주관적 인식이나 체험, 지역과의 상호작용을 충분히 반영하지 못하는 한계를 가진다. 최근에는 관광지를 폭넓게 이해하려는 시도가 이어지고 있다. 관광지를 관광객의 이동 패턴과 소비 네트워크를 기반으로 유동적이고 기능적인 공간으로 규정하거나(Paulino et al., 2021), 공간·시간·참여 측면을 통합한 복합적 체험 공간으로 바라보는 관점도 있다(Navarro-Ruiz et al., 2020).

2. 관광지 유형화 연구 동향

기존 연구에서는 방문자 수, 지역 축제 및 관광 프로그램 수, 접근성을 비롯한 여러 지표를 사용하여 관광지를 유형화했다. 다수의 연구에서는 특정 관광지의 활성화와 쇠퇴를 평가하기 위해 방문자 수를 주요 지표로 선정하여 활용했다(e.g., 이순자 외, 2020; 이정원, 2023; 한국은행, 2023). 또한, 관광객의 연령대별 특성은 관광지 이미지와 만족도를 평가하는 데도 활용될 수 있다(Ceylan et al., 2021; Davras, 2021). 지역 축제와 관광 프로그램은 관광지 매력도를 높이는 변수로 평가되며, 다양한 관광객 유형의 요구를 충족시키는 데 기여한다(이정원, 2023; 이순자 외, 2020; 황지은·장태수, 2021). 접근성 역시 중요한 요인으로, 관광지에 대한 물리적 접근 가능성을 이해하는 데 활용된다(신기혁, 2015; Batista e Silva et al., 2021).

관광산업에서 청년층은 높은 소비력, 재방문 가능성, 관광 수요로 인해 중요성이 대두되고 있다(Caber et al., 2020). 청년은 자율적 의사결정을 행하는 20대 이상인 사람으로 정의된다(김하얀 외, 2018). 이들은 시간이나 건강 문제, 자녀 돌봄 등의 제약에서 비교적 자유로워 관광 활동에 더 적극적으로 참여할 수 있으며, 가성비와 시간 대비 만족도를 중요하게 생각하는 경향이 강하다(윤동환, 2021; Bae and Chick, 2016). 특히, 청년층은 IT 기술 활용에 능숙하여 SNS와 같은 디지털 플랫폼을 통해 여행 정보를 빠르고 자유롭게 공유하며, 이러한 정보는 다른 관광객들에게 큰 영향을 미친다(황경성, 2001). 이처럼 청년층의 활동은 관광지의 성장과 발전에 중요한 지표로 작용하고 있다.

외국인 관광객은 지역 경제 활성화에 있어 매우 중요한 역할을 한다. 내국인 관광객의 경우 인구 자체의 한계가 있지만, 외국인 관광객은 관광객 수의 폭이 넓다. 또한, 외국인 관광객은 관광지에서 더 많은 지출을 하는 경향이 있어 지역 경제에 미치는 파급 효과가 크다. 2023 부산 방문 관광객 실태 조사(부산관광공사, 2024)에 따르면, 부산의 경우 내국인 관광객의 1인당 하루 평균 지출이 약 32만 원인 반면, 외국인 관광객은 약 73만 원($567.7)이다. 이러한 높은 소비력은 숙박, 음식, 쇼핑 등 다양한 분야에서 지역 경제에 큰 활력을 불어넣는다. 신기혁(2015)은 중국인 관광객이 한국 관광산업에서 가장 중요한 외국인 관광객으로, 부산의 경제 활성화와 국가 경제 성장에 크게 기여하고 있음을 강조했다. 이렇듯 외국인 관광객은 지역 내 상권을 더욱 활성화하는 데 결정적인 역할을 하므로, 외국인 관광객 유치가 매우 중요하다.

최근 관광 분야에서 빅데이터의 중요성이 대두되며, 다수의 선행연구(주혜진, 2022; 김예림·성종상, 2023; Liu et al., 2020)에서는 SNS, 웹사이트 등 디지털 플랫폼에서 얻을 수 있는 데이터를 활용하고 있다. 이는 기존의 단편적인 데이터로는 확인하기 어려운 관광객의 복합적인 이동 패턴, 선호도 등을 실시간으로 파악할 수 있다(Takahashi et al., 2020). SNS를 통해 방문객들이 남기는 후기와 사진은 특정 관광지의 인기도를 반영하며, 이를 분석함으로써 관광객들의 평가를 파악할 수 있다. Google Map 리뷰 데이터와 같은 사용자 제공 데이터를 활용해 관광지별 별점을 분석함으로써 관광객의 만족도를 파악할 수 있다(이병언·김신원, 2023). 관광지의 방문 만족도를 분석하는 것은 관광지 유형화에서 중요한 요소이다. 만족도는 단순히 현재의 평가를 넘어서, 미래의 공간 이용 행태와 패턴을 예측하는 데 중요한 예측 변수로 활용될 수 있기 때문이다(송흥규, 2021). 또한, 공간에 대한 사용자의 만족도가 높을수록, 해당 공간을 추천하거나 재방문할 가능성이 커지며, 이는 공간의 지속적인 발전에 기여된다(유경미·신은정, 2023).

관광지 유형화 연구는 다양한 지표들을 통해 지속해서 발전해왔으며, 특히 클러스터링 및 분류 기법을 활용한 정량적 분석이 활발히 이루어져 왔다. K-평균(means), 계층적 군집분석과 같은 기법은 관광지의 접근성, 방문객 관련 통계 지표, 주변 기반 시설 등을 활용하여 유형을 도출하는 데 사용되었으며(Gomez-Vega et al., 2022; Rochman et al., 2022), 최근에는 공간 네트워크나 시공간적 특성을 반영한 접근도 시도되고 있다(e.g., Liu and Liao, 2021). 그러나 기존 연구는 유형화 기법 자체나 개별 관광지의 속성에 집중하는 경향이 강해, 관광지 주변 환경이나 관광지 간 연계성을 함께 고려한 연구는 여전히 부족한 실정이다.

본 연구는 관광지와 함께 관광지의 주변 환경·맥락을 고려했으며, 네트워크 분석을 통해 관광지 간 연계성을 반영했다. 이는 주변의 문화소비 여건과 같은 환경적 특성과 관광지 간의 상호작용을 명확히 드러내는 것이다. 나아가, 단순한 지리적 인접성이나 행정구역 기준이 아닌, 실제 관광 행태 기반의 유사성을 중심으로 관광지를 유형화한 점에서 기존 연구와의 차별성을 갖는다.


Ⅲ. 연구설계

1. 연구의 범위

본 연구에서는 관광지의 고유 특성과 주변 환경을 함께 분석하기 위해 관광지와 그 반경 500m를 각각 분석의 공간 단위로 설정했다. 관광지는 정책적 공급 논리와 실제 수요 흐름을 결합한 실질적 공간 단위로 조작화했으며, 한국관광 데이터랩에서 정의한 부산 내 관광지 242개를 활용했다. 이는 관광지를 단순히 법적·행정적 결정이 아닌, 정책적 의도와 관광객의 이용 실태를 아우르는 분석 단위로 확장하기 위함이다. 구체적으로, 문화체육관광부와 한국관광공사가 선정한 테마 관광지를 ‘공급측 앵커’로 삼고, KT와 TMAP의 공동 관심 지점(Point of Interest, POI)을 ‘수요측 검증’ 장치로 활용했다. 한국관광 데이터랩에서 제공하는 관광지는 테마 관광지와 통신 데이터 기반 POI의 교집합을 기준으로 설정되기에 관광객의 경험과 정책 목표를 동시에 반영하는 분석 단위로 기능한다. 관광지는 행정 등록 주소로 지오코딩하여 지도상에 대표 위치를 부여했다. 이는 지도상 표기를 위해 주소를 좌표 변환한 것일 뿐, 관광지를 고정된 점(point)으로 인식하지는 않는다.

이어서, 관광지 주변의 인구 특성이나 문화소비 여건 등 맥락적 요인을 반영하기 위해 관광지 반경 500m를 관광지 주변으로 설정했다. 관광지 주변은 행정구역을 기준으로 설정되는 경향이 있으나, 관광객의 실제 이동과 체험 관점을 반영해 주변 지역을 정의할 필요가 있다(Paulino et al., 2021). 도보권은 주로 500m 내외로 설정되며(e.g., 고두환 외, 2015; 원종욱·이현수, 2021; 김예림, 2022), 이를 반영해 관광객이 도보로 쉽게 이동하며 소비·체류할 수 있는 현실적 주변 단위로 반경 500m를 설정했다. 한편, 분석의 시간적 범위는 최근 부산 관광 현황을 반영하기 위해 주로 2023년으로 설정했다. 그러나 일부 자료의 제약으로 인해 2021년, 2022년, 2024년 자료를 보완적으로 활용했다.

관광지출 패턴은 개별 관광지가 아닌 시·군·구 단위에서 탐색했다. 이는 현실적으로 접근할 수 있는 자료의 집계 수준에 따른 문제다. 그러나 지역 수준에서 유형별 관광지 분포와 소비 구조 간 간접적 연관성을 탐색할 수 있다는 점에서 의의가 있다.

2. 변수 및 자료

본 연구에서는 한국관광 데이터랩, 부산빅데이터혁신센터, 국토정보플랫폼, 각종 관광 웹사이트, 국가철도공단, Google Map에서 제공하는 자료를 사용했다(Table 1). 먼저, 공간 단위를 행정구역(시·군·구)인 변수로는 지역별 관광지출액이 있다. 지역별 관광지출액 자료는 신용카드 데이터를 활용해 지자체별 관광 소비를 분석할 수 있는 신뢰성 높은 자료다. 관광 빅데이터 분석 가이드라인을 수립한 연구를 따라(한국관광공사, 2022), 업종별로 세분화된 지출 정보를 반영해 관광 소비 동향을 정확히 파악할 수 있다. 특히, 이는 관광지의 경제적 영향을 평가하는 데 매우 유용하다.

Variable descriptions

다음으로, 생활인구와 핫플레이스(hot-place) 비율은 관광지 반경 500m를 공간적 단위로 하는 변수이다. 생활인구는 특정 시점에 특정 지역에 거주하거나 업무, 관광, 쇼핑 등으로 일시적으로 방문하여 행정수요를 발생시키는 인구를 말하며, 이는 휴대전화 사용 패턴과 위치 정보 기반의 추정치를 통해 산출된다(매시간 스냅숏 측정 데이터). 이를 통해 해당 관광지 주변의 행정수요 규모를 효과적으로 파악할 수 있다. 한편, 핫플레이스는 관광지 주변의 문화소비 가능성, 공간 활성도, 연계 활동 여건 등을 반영하기 위한 맥락적 변수로 활용되었다. 이는 김성아 외(2023)가 제시한 “사람들이 선호하는 음식점과 매장들이 밀집되어 있으며, 이에 대한 정보를 미디어로 공유함으로써 더 많은 사람들이 방문하게 되는 지역 또는 장소”라는 정의에 기반한다. 이를 정량화하기 위해, V-World에서 제공하는 국가관심지점정보(POI) 자료를 활용하였다. 이는 국가의 행정, 복지 등 고유업무 수행 과정에서 축적된 다양한 공공행정정보(원자료)를 통합 가공하여 위치기반 서비스 및 다목적 활용을 위해 구축된 데이터로, 관광자원, 상업시설, 숙박업체, 기반 시설 등 관광 관련 장소를 포함한다. 본 연구에서는 단순 POI 밀도가 아니라 관광지 주변 맥락을 정의하려는 의도와 부합하도록 관광과 연관성이 높은 시설군만 선별하여 활용했다. 구체적으로는 선행연구(e.g., 주혜진, 2022; 김예림·성종상, 2023)에서 도출한 주요 키워드와 관련 시설 유형을 참고하여, 관광객의 소비와 활동을 유도할 수 있는 시설(숙박, 음식, 서비스, 관광 및 레저, 문화 및 예술, 스포츠 시설)만을 추출했다.

선행연구에서는 대부분 SNS 데이터를 이용하여 텍스트 마이닝을 통해 핫플레이스를 정의한다(e.g., 주혜진, 2022; 김예림·성종상, 2023). 그러나 SNS 데이터의 경우 핫플레이스와 무관한 정보 및 주관성이 포함될 가능성이 크다(김성아 외, 2023). 국가관심지점정보는 포인트 좌표로 제공되어 이러한 단점을 보완할 수 있다(조월 외, 2021). 이를 이용하여 시설의 집중도를 파악할 수 있으며, 이는 도시 활력을 의미한다(Jacobs, 1961).

핫플레이스는 100m×100m 격자 단위로 핫스폿 분석을 시행하여 도출했다. 핫스폿 분석(hot spot analysis)은 데이터의 공간적 배열과 분포를 고려하여, 통계적으로 의미 있는 공간적 군집을 형성하는 분석 방법이다. 이를 통해 데이터의 공간 분포 특성을 파악할 수 있다(김성아 외, 2023). 핫스폿 분석으로 Getis and Ord’s Gi*을 이용했다(Getis and Ord, 1992). Gi*가 유의미한 양수인 지역은 핫스폿(hot spot)으로 구분되며, 유의미한 음수인 지역은 콜드스폿(cold spot)으로 구분된다(이미숙·여관현, 2021):

(1) 

식 (1)에서 ij는 분석의 공간 단위(지역, 지점 등)를 나타내며, xi는 지점 i의 속성 데이터값을 의미하고, wij는 지점 ij간의 공간적 가중치를 나타낸다. n은 분석 대상의 전체 지점 수를 뜻한다. 이때, X는 데이터값의 평균이며, S는 표준 편차를 의미한다.

본 연구에서는 ArcGIS pro 3.2 버전을 사용하여 핫스폿 분석을 수행하였다. 공간 가중치는 일정 거리 이내의 이웃 피처(neighboring feature)에 가중치 1을, 그 외 피처에는 0을 부여하는 고정거리대역(fixed distance band) 방식으로 설정하였다. 이때 일정 거리는 모든 피처가 최소 1개의 이웃을 갖도록 ArcGIS가 자동 산정한 거리로, 본 연구에서는 577.9628m가 적용되었다. 이는 공간 단위 간의 일관된 비교를 가능하게 하고, 지나치게 멀리 떨어진 피처의 영향을 제한하기 위한 것이다. 국가관심지점 정보의 핫스폿 지역을 ‘핫플레이스’로 정의하고, 나머지는 핫플레이스가 아닌 지역으로 간주했다. 또한, z-score가 1.96을 초과하면 높은 수준의 공간적 자기상관성(spatial autocorrelation)을 나타낸다(Getis and Ord, 1992). 이에 따라 핫스폿 분석의 통계적 유의성 기준은 95% 신뢰 수준을 적용했다.

관광지를 공간 단위로 분석할 때 사용되는 변수로는 평균 중심성, 외국인 방문자 수, 차량 접근성, 대중교통 접근성, 평균 체류시간, 평균 별점이 있다. 먼저, 평균 중심성을 측정하기 위해 패키지 관광상품 데이터를 통해서 관광 경로를 파악한다. 관광 분야에서 연계성은 관광지 간의 상호 연결을 통해 관광객의 이동을 원활하게 하고, 다양한 경험을 제공함으로써 관광지의 경쟁력을 높이는 중요한 요소이다(박득희·이계희, 2014). 또한, 관광 만족도는 관광객이 관광지에서 얻은 전반적인 경험을 평가하는 지표로, 관광지의 서비스 품질과 매력도를 반영한다. 특히, 높은 만족도는 재방문 의도와 긍정적인 입소문에 영향을 미친다(박재은 외, 2021; 임화순·남윤섭, 2017). 따라서, 본 연구에서는 연계성과 만족도를 관광지 발전에 큰 영향을 미치는 핵심 변수로 선정한다.

관광 경로에 기반한 네트워크 분석을 통해 관광지 간의 연계성을 파악했다. 관광지 간의 연계성을 분석하기 위해서는 네트워크를 구성하는 관광지인 노드(node) 사이의 엣지(edge) 정보가 필요하다. 엣지는 관광지 간의 직접적인 연결을 나타내지만, 관광지 간 관광객 실 이동 궤적에 대한 자료를 확보하는 것에는 제약이 존재하는 경우가 많다. 이때, 관광지 간 연계성을 간접적으로 측정하여 엣지 정보를 생성할 수 있다.

본 연구에서는 관광지 간 연계성을 간접적으로 측정하였으며, 이는 근접성(proximity)의 차원에 기반한다. 구체적으로는, 주어진 패키지 관광상품에서 특정 관광지가 다른 관광지와 함께 공동 출현(co-occurrence)하는 패턴을 활용하여 두 관광지 간 연계 정도를 산출했다. Hidalgo et al.(2007)에 따르면, 관광지 ij 사이의 근접성 ϕi, j은 두 관광지가 동일한 경로에 함께 등장할 확률로 정의되며, 두 노드 간의 연계성을 반영한다:

(2) 

식 (2)에서 RCA는 현시비교우위(revealed comparative advantage)를 의미한다. 이는 특정 관광지가 개별 패키지에서 차지하는 비중이 전체 패키지에서의 평균 비중보다 높은지를 평가한다:

(3) 

식 (3)에서 c는 패키지 관광상품을 나타내고, x(c, i)는 패키지 관광상품 c에서 관광지 i가 포함된 빈도를 나타낸다. 이때, RCA > 1이면 비교우위가 존재한다. 이러한 방식은 직접적인 연결 정보가 부족할 때 관광지 간의 관계를 추론하는 데 유용하다.

각 노드의 엣지를 간접적으로 계산한 후, 네트워크의 중심성을 분석하여 관광 경로 내에서 중요한 노드를 파악했다. 연결 중심성(degree centrality), 매개 중심성(betweenness centrality), 근접 중심성(closeness centrality) 세 가지 지표를 사용하여 각 노드의 상대적 중요성을 평가했다. 연결 중심성은 특정 노드에 연결된 다른 노드의 수를 기반으로, 매개 중심성은 네트워크에서 한 노드가 다른 노드 간의 중개자 역할을 하는 빈도를 기반으로, 근접 중심성은 한 노드가 다른 모든 노드와 얼마나 가까운지에 대한 평균 경로 길이를 기반으로 계산되었다. 본 연구에서는 python의 NetworkX 라이브러리를 사용하여 세 가지 중심성 지표를 계산하고, 이들의 평균값을 통해 각 노드의 중심성을 종합적으로 평가했다.1)

차량 접근성은 내비게이션 목적지 검색량을 통해 차량 이용자 수를 측정할 수 있다. 이는 단순한 거리 기반 접근성을 넘어 방문 의지와 실질적인 도달 용이성을 함께 반영하는 행태 기반 접근성 지표로 이해될 수 있다. 대중교통 접근성은 관광지와 가장 가까운 버스 정류장 또는 지하철역의 주소 데이터를 사용해 관광지와의 직선거리 평균을 산출했으며,2) 해석의 용이성을 위해 역수값을 취하고 10,000을 곱해 사용했다. 만족도는 Google Map의 지역 가이드(local guide) 별점 평균을 이용하여 측정한다.3) 리뷰는 Google Map에서 2024년 8월 기준으로 제공되는 과거 모든 시점의 리뷰 데이터를 활용하였다. 자료 수집은 리뷰를 모두 로딩한 후, 개발자 도구를 활용해 특정 HTML 클래스에서 별점 정보를 추출하고 평균 평점을 산출하는 방식으로 이루어졌다. 총 리뷰 수는 339,900건이었으며, 관광지별 리뷰 수는 최대 24,780건, 최소 0건, 평균 1,404.5건이었다.

3. 분석 방법

1) K-평균 군집분석(K-means clustering)

본 연구에서는 유사한 특성을 가진 관광지를 유형화하기 위해 대표적인 군집분석 기법인 K-평균 군집분석(K-means clustering)을 사용했다. K-평균 군집분석은 비지도 학습 기법의 하나로, 데이터를 k개의 그룹으로 나누는 알고리즘이다. 이 방법은 각 그룹의 중심점과 데이터 포인트 간의 거리를 계산하여, 가장 가까운 중심에 데이터를 할당하는 방식으로 군집화를 수행한다(Macqueen, 1967). K-평균 군집분석을 통해 관광지와 관광지 반경 500m에 대해 각각 군집분석을 수행하고 이를 조합하여 관광지 유형을 식별했다. K-평균 군집분석에는 SPSS를 사용했다.

2) 일원배치 분산분석(One-way ANOVA)

행정구역(시·군·구) 단위로 구축된 업종별 관광지출액(식음료업, 쇼핑업, 여가서비스업, 숙박업, 여행업, 운송업)을 해당 지역에 분포한 관광지 유형별로 비교하여 지출 패턴을 분석했다. 관광지의 유형과 관광지가 위치한 시·군·구의 업종별 관광지출액을 연계하여, 관광지 유형에 따라 관광지출액이 많은지 적은지를 판단했다. 이를 위해 일원배치 분산분석을 사용하여 관광지 유형 분포에 따른 지역의 업종별 관광지출액 차이를 통계적으로 검증했다. 유의미한 차이가 발견된 경우, 사후 분석(Bonferroni 검정)을 통해 구체적으로 어떤 관광지 유형 분포 간에 관광지출액 차이가 발생하는지 추가로 분석했다. 이를 통해 관광지 유형이 다수 분포한 지역 간 업종별 지출 패턴 차이를 명확히 파악할 수 있다.


Ⅳ. 분석 결과

1. 핫플레이스 및 관광지 간 연계성

핫스폿 분석 결과, 관광, 숙박 및 상업시설이 특정 지역에 집중되어 있으며, 그 공간적 특성에 따라 핫스폿과 콜드스폿이 명확하게 구분된다(Figure 1). 핫스폿 지역은 주로 중구, 부산진구, 연제구 등 중앙 및 남부 지역에서 나타나며, 특히 도시 중심부 및 관광 명소로 추정되는 지역에서 핫스폿이 99% 신뢰 수준에서 확인된다. 신뢰 수준 95% 이상인 핫스폿은 해당 지역과 그 인근에서 숙박, 음식, 서비스, 관광 및 레저, 문화 및 예술, 스포츠 시설 등이 밀집해 있음을 의미한다. 이를 부산의 핫플레이스로 정의했다. 핫플레이스는 관광 인프라가 구축되어 있으며 상업적 활동이 집중되는 곳이다.

Figure 1.

Spatial distribution of hot spot and cold spot

핫스폿 인근에는 통계적으로 유의미하지 않은 지역이 다수 존재한다(Figure 1). 이 지역은 특정한 패턴이 두드러지지 않아 핫스폿이나 콜드스폿으로 분류되지 않은 곳이다. 반면, 강서구, 기장군 등 북부 및 외곽 지역에서는 콜드스폿 지역이 발견된다. 특히, 산간 지역과 도시 외곽은 관광 관련 시설 밀집도가 현저히 낮아, 상업시설이나 관광 인프라가 적은 지역임을 나타낸다. 이러한 지역들은 관광 명소와는 거리가 있으며, 관광객 유입이 적고 상업적 활동이 활발하지 않은 지역으로 볼 수 있다. 콜드스폿인 지역의 분포가 많은 것으로 보아 부산 내 관광 격차가 있는 것으로 파악된다.

패키지 관광상품 데이터를 이용하여 관광지 간 연계성을 도출한 결과, 부산의 주요 관광지들 사이의 연계성을 파악할 수 있다. <Figure 2>의 각 노드는 관광지를 의미하고, 노드를 연결하는 선인 엣지는 두 관광지 간의 연계성을 나타낸다. 242개의 관광지 중 그래프에 표시된 35개의 관광지는 서로 연계성을 가지고 있다. 반면, 나머지 207개의 관광지는 패키지 관광상품에 포함되지 않아 네트워크 그래프상에서 연결되지 않은 상태로 나타났다. 특히, 그래프 중앙에 있는 부산자갈치시장(3), BIFF광장(8), 해운대 해수욕장(11) 등은 연결된 노드가 많아 패키지 관광상품에서 중요한 허브 역할을 할 가능성이 크다. 반면, 명지동근린공원(24), 신호공원(25), 을숙도공원(34)과 다대포해수욕장(22), 몰운대(부산국가지질공원)(23), 장림포구(33)는 세 개의 관광지 간 연계성은 매우 높지만, 다른 관광지와의 연계가 부족해 장기 여행 코스로는 적합하지 않을 수 있다. 또한, 송정해수욕장(2), 부산암남공원(32)과 같이 홀로 있는 관광지들은 다른 주요 관광지와의 연계가 적거나 거의 없는 것으로 나타났다.

Figure 2.

Network graph of tourist destinationsNote: Using the Fruchterman-Reingold layout, tourist destinations that are connected are positioned closer together, while those that are not connected are placed farther apart. Additionally, thicker lines indicate higher proximity, signifying a greater likelihood that two tourist destinations are included in the same package tour product, which reflects stronger connectivity.

이를 바탕으로 중심성 분석을 한 결과, 부산자갈치시장은 세 가지 중심성 지표에서 높은 값을 보이며, 평균 중심성이 1.54로 분석되어 네트워크 내에서 가장 중요한 허브 역할을 한다. 이는 부산자갈치시장이 다른 관광지들과 많이 연계되어 있으며, 관광 경로에서 중개 역할을 자주 수행한다는 것을 의미한다. 그 외에도 부산송도해수욕장, 흰여울문화마을도 높은 중심성을 보인다. 반면, 패키지 관광상품에 포함되지 않는 207개의 관광지는 모든 중심성이 0으로 나타났다. 이는 네트워크 분석에서 단절된 노드로 나타날 뿐이며, 관광지로서의 잠재력을 부정하는 것은 아니다.

2. 부산 관광지 유형

관광지 유형화에 고려된 변수의 기초통계량은 공간 단위별로 <Table2>에 제시되어 있다. 대부분의 변수에서 최댓값과 최솟값의 차이가 크며, 표준편차도 높은 수준을 보여 관광지 간 특성과 밀도의 차이가 뚜렷함을 말해준다. 특히, 외국인 방문자 수, 체류시간, 접근성, 청년 생활인구, 핫플레이스 비율 등 다양한 지표에서 관광지 간 특성 차이 및 변수 간 변동성이 확인되었다. 이는 향후 군집분석에서 관광지를 효과적으로 구분할 수 있음을 시사한다.

Descriptive statistics by spatial unit

군집 분석을 수행하기에 앞서, 피어슨 상관계수(Pearson correlation)를 사용하여 각 변수 간의 상관관계를 파악했다(Figure 3). 먼저, 관광지 상관계수 히트맵은 관광지 유형화에 사용된 변수 간의 상관관계를 분석한 결과를 나타낸다. 대중교통 접근성과 외국인 방문자 수 간의 상관관계는 0.54로, 관광지에서 대중교통 접근성이 좋을수록 외국인 방문자 수가 증가하는 경향이 있지만, 그 상관관계는 보통 수준으로 나타난다. 반면, 평균 체류시간과 차량 접근성의 상관계수는 -0.05로, 이 두 변수 간에는 거의 상관관계가 없다는 것으로 확인된다. 이를 통해 대중교통 접근성과 외국인 방문자 수 사이에는 어느 정도 연관성이 있지만, 다른 변수 간에는 상관관계가 미미하거나 존재하지 않는다는 것을 알 수 있다. 다음으로, 반경 500m 수준에서 핫플레이스 비율과 청년 생활인구 간에는 강한 양의 상관관계가 존재하고 있다(0.73). 높은 상관성을 가진 두 변수를 동시에 사용하는 것은 중복된 정보를 포함할 우려가 있으므로, 군집분석에는 핵심 변수인 핫플레이스 비율만을 사용했다.

Figure 3.

Heatmap of correlation coefficients between variables by spatial unit

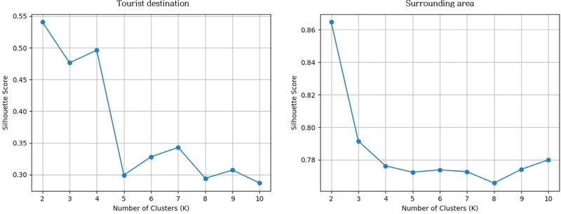
다음으로, 공간 단위별로 군집 수(K)를 2에서 10까지 변화시키며 K-평균 군집화를 수행한 결과, Silhouette Score가 가장 높게 나타난 K=2를 최적 군집 수로 설정하였다. 관광지 단위에서는 K=2에서 0.5405로, 반경 500m 단위에서도 K=2에서 0.8647로 가장 높은 값을 보였다(Figure 4). 이는 K=2일 때 각 군집 간 분리가 가장 뚜렷하고 군집 내 일관성이 가장 높았음을 의미한다. 따라서, 공간 단위별로 2개의 군집을 도출하였다.

Figure 4.

Silhouette scores by number of clusters (K) by spatial unit

관광지의 유형은 관광지 간 연계성과 접근성, 관광객 만족도, 체류시간, 방문자 구성 등 관광지의 특성과 관련된 변수들의 평균값 차이를 바탕으로 도출하였다. 먼저, 관광지 기준에서 C1은 ‘독립 체류형’으로 명명하였다(Table 3). 이 유형은 연계성과 접근성, 만족도가 낮지만, 평균 체류시간이 길고, 외국인 방문자 수는 적은 특징을 보인다. 평균 중심성 또한 낮아, 개별 관광지 단위의 체류 활동이 주요하게 나타나는 목적지로 해석된다. 이처럼 연계성은 낮고 체류시간이 긴 특성은 느린 관광(slow tourism)에서 중시하는 체류 기반의 관광 행태와 유사한 양상이다(Kebete, 2021). 반면 C2는 ‘글로벌 연계 방문형’으로 정의된다. 연계성과 접근성, 만족도, 외국인 방문자 수가 모두 높으나, 평균 체류시간은 짧다. 해당 유형은 중심성이 높고 교통 접근성이 우수한 관광지로 구성되어 있다. 관광지 간 연계 구조가 비교적 잘 형성되어 있으며, 외국인 관광객의 유입이 활발하고 단기 방문 중심의 관광이 이루어질 가능성이 높다. 이는 관광지 네트워크에서 중심성과 접근성이 높고, 다양한 연계 활동이 가능한 장소일수록 외래 관광객의 유입과 단기 체류 수요가 활성화된다는 Zhou et al. (2016)의 논의와 일치한다.

Clusters by spatial unit

한편, 관광지 반경 500m 내에서 특정 POI의 밀도를 활용한 핫스폿 분석 결과를 바탕으로, 관광지 주변의 환경에 대한 추가적인 유형 구분을 수행하였다. C1은 ‘핫플레이스 밀집형’으로 정의되며, 숙박, 음식, 서비스, 문화·레저 등 다양한 시설이 관광지 인근에 밀집된 특징을 보인다(Table 3). 이러한 시설 분포는 관광지 주변에서의 활동 여건이 잘 조성되어 있으며, 관광객의 체류 및 지출 행태에 영향을 줄 수 있는 외부 환경이 형성되어 있음을 시사한다. 관광지 주변의 상업·문화 기반 시설이 밀집된 환경은 관광객의 활동성과 만족도를 제고하며, 체류 경험을 보다 풍부하게 만드는 요인으로 작용할 수 있다(Zhou et al., 2016). 반면, C2는 ‘핫플레이스 희소형’으로 정의되며, 관광지 반경 내 관련 시설이 상대적으로 희소하거나 저밀도로 분포된 관광지가 포함된다. 이러한 유형의 관광지는 주로 자연환경을 기반으로 하며, 관광지 자체의 자원이나 경관이 주요한 방문 동기로 작용하는 환경적 특성을 가진다. 자연경관과 같은 환경적 속성이 관광객의 만족도에 긍정적 영향을 미친다는 Jiang et al.(2018)의 논의는 관광지 고유의 특성이 방문 동기로 작용할 수 있음을 시사한다.

관광지 반경 500m와 관광지의 군집을 조합하여 총 4개의 유형을 도출하였다(Figure 5). 먼저, ‘핫플레이스 밀집형·독립 체류형’ 유형에는 90개의 관광지가 포함된다. 이 유형은 관광지 반경 내 상업적 매력이 높은 지역이지만, 관광지 자체의 연계성, 접근성, 만족도는 낮고 외국인 방문자 수도 적다. 반면, 국내 관광객을 중심으로 평균 체류시간이 긴 특징을 보인다. 주로 청년층의 행정수요가 많고, 관광 인프라가 밀집된 주변 환경을 바탕으로 장기 체류를 유도할 수 있는 여건을 갖춘 관광지로 구성된다. 해당 유형의 관광지는 중구, 동구, 부산진구, 동래구 등 넓게 분포하며, 전포카페거리, 광안리 해수욕장 등 최근 주목받고 있는 상권이나 공원 공간이 이에 해당한다. 다음으로, ‘핫플레이스 밀집형·글로벌 연계 방문형’ 유형에는 13개의 관광지가 속한다. 이 유형에 해당하는 관광지는 외국인 관광객의 방문이 활발하며, 주변에는 관광 가능성을 높이는 환경이 조성되어 있다. 관광지 반경 내 상업적 매력이 높고, 관광지 자체의 연계성, 접근성, 만족도 또한 우수한 편이다. 그러나 평균 체류시간은 비교적 짧게 나타나, 빠르게 여러 관광지를 둘러보는 방문 행태가 나타날 수 있다. 해당 유형에는 해운대해수욕장, BIFF광장 및 인근 주요 관광지가 포함되며, 이들은 모두 외국인 관광객의 관심을 끌고, 한국적인 개성과 뛰어난 접근성을 갖춘 점이 특징이다.

Figure 5.

Distribution of tourist destinations by types

한편, ‘핫플레이스 희소형·독립 체류형’ 유형은 주로 주변 공간 활성도가 낮고, 타 관광지와의 연계성이 낮은 관광지가 포함된다(Figure 5). 해당 관광지들은 국내 관광객을 대상으로 장기 체류를 유도하는 경향이 있으며, 자연경관이나 조용한 분위기를 선호하는 방문객들이 여유롭게 시간을 보내는 곳으로, 평균 체류시간이 긴 편이다. 총 129개의 관광지가 이 유형에 해당하며, 이는 부산 내 관광지의 대부분을 차지한다. 주로 교외 지역이나 소규모 도시에 넓게 분포해 있으며, 상대적으로 관광 활성화 수준이 낮은 편이라 할 수 있다. 마지막으로, ‘핫플레이스 희소형·글로벌 연계 방문형’ 유형은 주변 문화소비 가능성은 작지만, 관광지 자체의 연계성, 접근성, 만족도가 높은 특성을 보인다. 이 유형에 속하는 관광지는 외국인 관광객들이 주로 찾는 곳이며, 체류시간은 짧고 다양한 관광지를 빠르게 즐기려는 관광 행태가 뚜렷하다. 총 10개의 관광지가 포함되며, 해운대 동백섬과 가덕도 인근 관광지 등이 이에 해당한다.

3. 관광지 유형 및 업종별 관광 지출 패턴

일원배치 분산분석 결과, 모든 업종에서 관광지 유형이 많이 분포한 시군구 단위의 지출액 간에 통계적으로 유의미한 차이가 나타났다(Table 4). 사후 분석에 따르면, 식음료업, 쇼핑업, 숙박업에서는 핫플레이스 밀집형·글로벌 연계 방문형(b)의 관광지가 상대적으로 많이 분포한 시군구에서 평균 지출이 가장 높게 나타났다. 이 지역은 문화소비 인프라가 양호하고, 외국인이 유입되는 등 글로벌 소비문화가 형성된 환경적 특성을 가질 가능성이 있다. 한편, 여행업과 운송업에서는 핫플레이스 희소형·글로벌 연계 방문형(d)이 많이 분포한 지역에서 다른 유형에 비해 상대적으로 높은 지출 경향이 관찰되었다.

Differences in tourism expenditure by industry according to tourist destination types(Unit: million KRW)

식음료업의 경우, 핫플레이스 밀집형·독립 체류형(a) 분포가 높은 지역에서 핫플레이스 희소형·독립 체류형(c) 중심 지역보다 유의미하게 높은 지출 경향을 보였는데, 이는 상업 및 관광 기반 시설의 밀도가 식음료 소비에 일정한 영향을 줄 수 있음을 시사한다. 여가서비스업 지출은 핫플레이스 밀집형·글로벌 연계 방문형(b)이 분포한 지역에서 상대적으로 높게 나타나는 경향이 있었으나, 모든 유형 간 비교에서 통계적으로 유의한 차이가 발생한 것은 아니었다. 이러한 분석 결과는 특정 관광지 유형이 밀집된 지역일수록 관광 소비가 상대적으로 활발하게 나타나는 업종이 존재함을 시사한다. 또한, 중심성과 접근성이 높은 관광지 유형의 분포가 지역 경제의 업종별 소비 구조에 일정한 영향을 미칠 수 있다는 가능성을 보여준다.


Ⅴ. 결 론

본 연구는 관광지 간 연계성과 주변 환경을 바탕으로 부산의 관광지를 유형화하고, 시·군·구 수준에서 업종별 관광지출액과의 연관 패턴을 탐색적으로 조사했다. 먼저, 방문자 규모, 관광 인프라, 연계성, 접근성, 체류시간, 만족도를 지표로 4개의 관광지 유형(핫플레이스 밀집형·글로벌 연계 방문형, 핫플레이스 희소형·글로벌 연계 방문형, 핫플레이스 밀집형·독립 체류형, 핫플레이스 희소형·독립 체류형)을 식별했다. 관광지의 연계성과 접근성이 우수하고, 외국인 방문자가 많으며, 만족도가 높게 나타나는 관광지는 ‘글로벌 연계 방문형’에 포함되었다. 이 유형이 많이 분포하는 지역은 관광지출액이 높은 경향을 보였다. 반면, 이와 반대의 특성을 지닌 ‘독립 체류형’이 많이 분포하는 지역에서는 지출 수준이 낮게 나타났다. 이는 접근성과 연계성을 비롯한 관광지의 특성이 해당 지역에서의 관광 소비와 일정 수준의 관련성을 가질 수 있음을 간접적으로 보여준다.

본 연구는 관광지를 단순한 개별 공간이 아니라, 주변과 연계성을 통해 기능과 가치가 확장되는 복합적 구조로 이해해야 함을 제안한다. 기존 연구는 주로 방문자 수 또는 개별 속성에만 초점을 맞춰 관광지를 고립된 정적 공간으로 간주하는 경향이 있다. 이에 반해 본 연구는 관광지 간 연계와 주변 맥락을 종합적으로 반영한 유형화 체계를 도입함으로써 관계적·입체적 시각을 강조하고 기존 관행에 도전한다. 나아가 관광지를 상호 연결된 네트워크 구조로 인식함으로써 실질적이고 전략적인 공간 정책 수립을 돕기에 학술적·실천적 기여가 분명하다.

이를 바탕으로 다음과 같은 시사점을 도출할 수 있다. 먼저, 관광지 유형은 연계성과 주변 맥락을 동시에 고려하여 구분될 수 있다. 이는 일률적인 활성화 정책을 넘어 유형별 공간적 연계 구조와 주변 특성을 기반으로 한 차별적 관리·운영 방식을 모색할 필요성을 암시한다. 또한, 지역 수준에서의 관광지 유형 분포는 업종별 관광지출 패턴의 차이로 이어질 수 있으며, 이는 유형별 관광지 특성과 지역 소비 구조가 간접적으로 맞물릴 가능성을 시사한다. 이에 단순히 방문객 수 증대보다는 시·군·구 수준의 관광지 구성과 연계될 수 있는 산업 부문을 면밀히 검토할 필요성을 제시한다.

본 연구는 다음과 같은 한계를 가진다. 먼저, 연구에 사용된 데이터가 특정 시점에 국한되기에 관광 패턴의 장기적 변화나 계절적 요인을 충분히 반영하지 못했다. 이에 결과가 특정 시점에 한정될 수 있으며, 향후 시계열 보정 기법 등을 활용하여 이를 보완할 필요가 있다. 또한, 관광지 유형화 이후 지출 패턴 분석은 시·군·구 수준에서 개략적 패턴 탐색에 그쳤기에 인과적 관계를 논하지 못한다. 향후 연구에서는 집계 단위 간 차이를 반영하는 다층 모형이나 이를 조정하기 위한 공간 보정 기법을 도입하여 관광지출에 대한 인과적 해석을 포함할 수 있을 것으로 기대한다.

Acknowledgments

이 논문은 국토교통부의 스마트시티 혁신인재육성사업으로 지원되었습니다.

Notes
주1. 세 지표 간 상관분석 결과, 연결 중심성과 근접 중심성 간 상관계수는 0.8777, 연결 중심성과 매개 중심성 간 상관계수는 0.7216, 근접 중심성과 매개 중심성 간 상관계수는 0.5248로 모두 통계적으로 유의하였다(p<0.001). 이는 세 지표가 서로 다른 개념을 반영함에도 일정 수준 이상의 일관된 경향을 보이기에, 산술 평균을 활용한 복합 지표가 분석의 효율성과 해석의 명확성을 높이는 데 유용함을 시사한다.
주2. Boscoe et al.(2012)에 따르면, 직선거리와 도로 기반 거리 간 상관계수는 매우 높으며, 대부분의 도시 지역에서는 분석 결과에 큰 영향을 미치지 않는 것으로 나타났다. 부산시 내 관광지는 전반적으로 도시화가 이루어진 공간에 분포하고 있기에, 직선거리 기반 측정이 왜곡을 유발할 가능성은 작다.
주3. 지역 가이드는 리뷰어의 지속적이고 활발한 참여를 유도하는 서비스다. 이들은 비교적 성의 있는 리뷰를 작성하기에 별점의 신뢰도가 높다(이주경·손용훈, 2021; 이병언·김신원, 2023).

References

  • 고두환·최창규·성현곤, 2015. “거리에서의 보행활동과 문화시설과의 연관성 분석”, 「국토계획」, 50(5): 187-199.
    Go, D.H., Choi, C.G., and Sung, H.G., 2015. “An Analysis on the Relationship Between Walking Activity and Cultural Facilities on the Street”, Journal of Korea Planning Association, 50(5): 187-199. [ https://doi.org/10.17208/jkpa.2015.08.50.5.187 ]
  • 김범진·권태길·고호석, 2014. “관광지 유형에 따른 관광지 속성 및 제약요인이 관광지 선택에 미치는 영향”, 「지역산업연구」, 37(4): 237-257.
    Kim, B.J., Kwon, T.G., and Ko, H.S., 2014. “Impacts of Destination Attribute and Constrains by Characteristics on Destination Choices”, Regioinal Industry Review, 37(4): 237-257.
  • 김성아·김병준·박수현·김규림·김흥순, 2023. “서울시 핫플레이스의 입지 특성 분석: 2017년과 2022년의 비교를 중심으로”, 「한국도시지리학회지」, 26(3): 33-49.
    Kim, S.A., Kim, B.J., Park, S.H., Kim, G.R., and Kim, H., 2014. “Analysis of the Location Characteristics and Impact Factors of “Hot Places” in Seoul: A Comparative Study between the Years of 2017 and 2022”, Journal of the Korean Urban Geographical Society, 26(3): 33-49. [ https://doi.org/10.21189/JKUGS.26.3.3 ]
  • 김예림·성종상, 2023. “SNS 텍스트마이닝을 통한 부산 영도의 관광객 핫플레이스 도출 및 유형분석”, 「한국지역개발학회지」, 35(1): 121-142.
    Kim, Y. and Sung J.S., 2023. “Analyzing Tourism Hotspots and Types of Yeongdo, Busan through Social Media Text Mining”, Journal of the Korean Regional Development Association, 35(1): 121-142.
  • 김예림, 2022. “GIS를 이용한 익산시 생활 SOC 수요 분석과 공급방안”, 「전북학연구」, 5: 235-283.
    Kim, Y., 2022. “The Supply Strategies of Life Social Overhead Capital(SOC) Base on Big Data Analysis”, Journal of Jeonbuk Studies, 5: 235-283.
  • 김하얀·박효연·김대관, 2018. “IPA를 활용한 청년 관광 활성화에 대한 연구: ‘내일로’ 이용객을 대상으로”, 「관광레저연구」, 30(9): 99-113. [ https://doi.org/10.31336/JTLR.2018.09.30.9.99 ]
    Kim, H.Y., Park, H.Y., and Kim, D.K., 2018. “A Study on Activation of Youth tourism Using IPA: Focusing on Tourists of ‘Rail-Ro’”, Journal of Tourism and Leisure Research, 30(9): 99-113. [ https://doi.org/10.31336/JTLR.2018.09.30.9.99 ]
  • 박득희·이계희, 2014. “패키지 관광 상품에 포함된 관광목적지들 간의 사회 네트워크 분석”, 「한국산학기술학회 논문지」, 15(3): 1414-1423.
    Park, D.H. and Lee, G., 2014. “A Social Network Analysis of Tourism Destinations in Package Tourism Products”, Journal of Korea Academia-Industrial cooperation Society, 15(3): 1414-1423. [ https://doi.org/10.5762/KAIS.2014.15.3.1414 ]
  • 박재은·이은지·정남호·구철모, 2021. “스마트관광 정보기술에 따른 여행 서비스 만족도와 행복 및 재방문 의도”, 「관광학연구」, 45(4): 157-183.
    Park, J.E., Lee, E.J., Chung, N.H., and Koo, C.M., 2021. “Travel Service Satisfaction, Happiness and the Revisit Intention based on the Smart Tourism Technologies”, Journal of Tourism Sciences, 45(4): 157-183. [ https://doi.org/10.17086/JTS.2021.45.4.157.183 ]
  • 부산관광공사, 2024. 「2023 부산 방문 관광객 실태조사 보고서」, 부산.
    Busan Tourism Organization, 2024. 2023 Busan Tourist Survey, Busan.
  • 송흥규, 2021. “빅데이터를 활용한 음식관광 인식 연구: 코로나 19 발생 전후 비교”, 「외식경영연구」, 24(5): 177-200. [ https://doi.org/10.47584/jfm.2021.24.5.177 ]
    Song, H.G., 2021. “A Study on Food Tourism Perception Using Big Data: Comparison Before and After the Outbreak of COVID-19”, Journal of Foodservice Management Society of Korea, 24(5): 177-200. [ https://doi.org/10.47584/jfm.2021.24.5.177 ]
  • 신기혁, 2015. “관광지로서 부산 이미지 정립을 위한 커뮤니케이션 전략 방안 연구: 중국인 관광객을 중심으로”, 「지역과 커뮤니케이션」, 19(4): 35-73.
    Shin, K.G., 2015. “A Study of Image Communication Strategy for Busan as a Tour Destination: Focused on Chinese Tourists”, Locality & Communication, 19(4): 35-73.
  • 원종욱·이현수, 2021. “도심 엔터테인먼트형 복합상업시설과 카페의 생존 상관성에 대한 사례연구-영등포 타임스퀘어 도보권을 중심으로”, 2021 한국실내디자인학회 추계학술발표대회, 제주: 플레이스 캠프 제주.
    Won, J.W. and Lee, H.S., 2021. “A Case Study on the Survival Correlation Between Urban Entertainment Complex and Cafes: Focused on the Walking Distance Around Time Squares, Yeongdeungpo”, Paper presented at the fall academic conference for the Korean Institute of Interior Design, Jeju: Playce Camp Jeju.
  • 유경미·신은정, 2023. “패션 리테일 테크 매장의 특성이 소비자 몰입 및 만족감에 미치는 영향”, 「복식문화연구」, 31(4): 452-466.
    You, G. and Shin, E., 2023. “The Effects of Fashin Retail Tech Store’s Characteristics on Consumer’s Flow and Satisfaction”, The Research Journal of the Costume Culture, 31(4): 452-466. [ https://doi.org/10.29049/rjcc.2023.31.4.452 ]
  • 윤동환, 2021. “청년대상 관광정책의 과제와 지원방향”, 「한국관광정책」, 85: 16-23.
    Yoon, D.H., 2021. “Challenges and Support Directions for Youth-Oriented Tourism Policies”, Korea Tourism Policy, 85: 16-23.
  • 윤주·김진영·박경열, 2021. 「관광지등 제도개선 방안 마련을 위한 기초연구」, 서울: 한국문화관광연구원.
    Yoon, J., Kim, J.Y., and Park, G.Y., 2021. Basic Study for the Establishment of Measures to Improve the System for Tourist Destinations, Etc., Seoul: Korea Culture & Tourism Institute.
  • 윤주·김향자, 2022. 「관광지 친환경 재생방안」, 서울: 한국문화관광연구원.
    Yoon, J. and Kim, H.J., 2021. Eco-friendly Regeneration Measures for Tourist Sites, Seoul: Korea Culture & Tourism Institute.
  • 이미숙·여관현, 2021. “공간적 자기상관을 활용한 지역안전지수의 공간패턴 분석: 기초지방자치단체를 중심으로”, 「한국측량학회지」, 39(1): 29-40.
    Yi, M.S. and Yeo, K.H., 2021. “An Analysis on the Spatial Pattern of Local Safety Level Index Using Spatial Autocorrelation: Focused on Basic Local Governments, Korea”, Journal of the Korean Society of Surveying, Geodesy, Photogrammetry and Cartography, 39(1): 29-40.
  • 이병언·김신원, 2023. “빅데이터를 활용한 산업시설 재생공원 이용자 인식에 관한 연구: 구글맵 리뷰 데이터를 활용하여”, 「한국디자인문화학회지」, 29(4): 289-303.
    Lee, B.E. and Kim, S.W., 2023. “A Study on the User’s Perception of Regeneration Park in Industrial Facilities Using Big Data: Using Google Maps Review Data”, Journal of the Korean Society of Design Culture, 29(4): 289-303. [ https://doi.org/10.18208/ksdc.2023.29.4.289 ]
  • 이순자·안소현·유현아·심창섭·정광민, 2020. 「지역 관광지 쇠퇴원인 진단 및 활성화 방안 연구」, 세종: 국토연구원.
    Lee, S., An, S., You, H., Shim, C., and Jeong, K., 2020. Understanding on the Decline of Tourism Sites and the Ways for Recovery: Causes, Verification and Policy Implications, Sejong: Korea Research Institute for Human Settlements.
  • 이정원, 2023. “MZ 세대의 관광지 선택속성이 만족과 재방문의도에 미치는 영향”, 「관광레저연구」, 35(3): 39-51. [ https://doi.org/10.31336/JTLR.2023.12.35.3.39 ]
    Lee, J, 2023. “The Effect of Tourist Destination Selection Attributes on Satisfaction and Revisit Intention of the MZ Generation”, Tourism & Leisure Research, 35(3): 39-51. [ https://doi.org/10.31336/JTLR.2023.12.35.3.39 ]
  • 이주경·손용훈, 2021. “구글맵리뷰 텍스트마이닝을 활용한 공원 이용자의 인식 및 평가: 서울숲, 보라매공원, 올림픽공원을 대상으로”, 「한국조경학회지」, 49(4): 15-29.
    Lee, J.K. and Son, Y.H., 2021. “Perception and Appraisal of Urban Park Users Using Text Mining of Google Maps Review: Cases of Seoul Forest, Borame Park, Olympic Park”, Journal of the Korean Institute of Landscape Architecture, 49(4): 15-29. [ https://doi.org/10.9715/KILA.2021.49.4.015 ]
  • 임화순·남윤섭, 2017. “외국인 관광객의 관광지 이미지가 만족도와 재방문의도에 미치는 영향에 관한 연구: 성산일출봉 방문 중국인 관광객을 중심으로”, 「한국콘텐츠학회논문지」, 17(2): 298-307.
    Lim, H.S. and Nam, Y.S., 2017. “A Research on Effects of the Satisfaction and Revisiting Intension by Image of Tourist Destination: Focus on Chinese Tourist of Seongsan Sunrise Peak”, The Journal of the Korea Contents Association, 17(2): 298-307.
  • 조월·하재현·이수기, 2021. “서울시 생활인구의 시간대별 혼합 수준에 영향을 미치는 요인 분석”, 「국토계획」, 56(1): 22-38.
    Cao, Y., Ha, J., and Lee, S.G., 2021. “Analysis on the Determinants of Hourly-based Mixed Level of De Facto Population in Seoul, Korea”, Journal of Korea Planning Association, 56(1): 22-38. [ https://doi.org/10.17208/jkpa.2021.02.56.1.22 ]
  • 주혜진, 2022. 「소셜 미디어 텍스트 마이닝을 활용한 대전의 힙· 핫플레이스 개념 형성 분석」, 대전: 대전세종연구원.
    Chu, H., 2022. Analyzing the Concept Formation of Hip and Hot Places in Daejeon Using Social Media Text Mining, Daejeon: Daejeon Sejong Research Institute.
  • 한국관광공사, 2022. 「관광 빅데이터 분석 가이드라인: 이동통신 및 신용카드 데이터」, 원주.
    Korea Tourism Organization, 2022. Guidelines for Tourism Big Data Analysis: Mobile Communication and Credit Card Data, Wonju.
  • 한국은행, 2023. 「코로나19 이후 전남지역 관광산업의 현황과 발전과제」, 광주·목포.
    Bank of Korea, 2023. The Current Status and Development Challenges of the Tourism Industry in Jeonnam Region after COVID-19, Gwangju and Mokpo.
  • 황경성, 2001. “대학생의 인터넷 관광정보 탐색에 관한 연구”, 「관광경영연구」, 11: 244-259.
    Hwang, K., 2001. “A Study on Search for the Tourism Information on the Internet to University Students”, Journal of Tourism Management Research, 11: 244-259.
  • 황지은·장태수, 2021. “웰니스 관광 만족 요인이 종합 만족도와 재방문 의도에 미치는 영향 연구: 전국 추천 웰니스 관광지 20 개소를 중심으로”, 「관광연구저널」, 35(9): 69-84.
    Hwang, J. and Jang, T.S., 2021. “A Study on the Satisfaction Factors of Wellness Tourists on Overall Satisfaction and Revisit Intention: Focused on 20 Wellness Tourist Attractions in Korea”, International Journal of Tourism and Hospitality Research, 35(9): 69-84. [ https://doi.org/10.21298/IJTHR.2021.9.35.9.69 ]
  • Bae, S.Y. and Chick, G., 2016. “A Rail Pass as a Culture Code Among Youth Travelers: The Case of Rail-Ro in Korea”, Journal of Tourism and Cultural Change, 14(1): 27-44. [https://doi.org/10.1080/14766825.2014.987781]
  • Batista e Silva, F., Barranco, R., Proietti, P., Pigaiani, C., and Lavalle, C., 2021. “A New European Regional Tourism Typology based on Hotel Location Patterns and Geographical Criteria”, Annals of Tourism Research, 89: 103077. [https://doi.org/10.1016/j.annals.2020.103077]
  • Boscoe, F.P., Henry, K.A., and Zdeb, M.S., 2012. “A Nationwide Comparison of Driving Distance versus Straight-Line Distance to Hospitals”, The Professional Geographer, 64(2): 188–196. [https://doi.org/10.1080/00330124.2011.583586]
  • Caber, M., Albayrak, T., and Crawford, D., 2020. “Perceived Value and Its Impact on Travel Outcomes in Youth Tourism”, Journal of Outdoor Recreation and Tourism, 31: 100327. [https://doi.org/10.1016/j.jort.2020.100327]
  • Calero, C. and Turner, L.W., 2020. “Regional Economic Development and Tourism: A Literature Review to Highlight Future Directions for Regional Tourism Research”, Tourism Economics, 26(1): 3-26. [https://doi.org/10.1177/1354816619881244]
  • Ceylan, D., Çizel, B., and Karakaş, H., 2021. “Destination Image Perception Patterns of Tourist Typologies”, International Journal of Tourism Research, 23(3): 401-416. [https://doi.org/10.1002/jtr.2414]
  • Davras, G.M., 2021. “Classification of Winter Tourism Destination Attributes According to Three Factor Theory of Customer Satisfaction”, Journal of Quality Assurance in Hospitality & Tourism, 22(4): 495-516. [https://doi.org/10.1080/1528008X.2020.1810195]
  • Fakeye, P.C. and Crompton, J.L., 1991. “Image Differences Between Prospective, First-Time, and Repeat Visitors to the Lower Rio Grande Valley”, Journal of Travel Research, 30(2): 10-16. [https://doi.org/10.1177/004728759103000202]
  • Getis, A. and Ord, J.K., 1992. “The Analysis of Spatial Association by Use of Distance Statistics”, Geographical Analysis, 24(3): 189-206. [https://doi.org/10.1111/j.1538-4632.1992.tb00261.x]
  • Gomez-Vega, M., Herrero-Prieto, L.C., and López, M.V., 2022. “Clustering and Country Destination Performance at a Global Scale: Determining Factors of Tourism Competitiveness”, Tourism Economics, 28(6): 1605-1625. [https://doi.org/10.1177/13548166211007598]
  • Hidalgo, C.A., Klinger, B., Barabasi, A.L., and Hausmann, R., 2007. “The Pproduct Space Conditions the Development of Nations”, Science, 317(5837): 482-487. [https://doi.org/10.1126/science.1144581]
  • Horikawa, T., Takahashi, M., Endo, M., Ohno, S., Hirota, M., and Ishikawa, H., 2022. “Estimating the Best Time to View Cherry Blossoms Using Time-Series Forecasting Method”, Machine Learning and Knowledge Extraction, 4(2): 418-431. [https://doi.org/10.3390/make4020018]
  • Jacobs, J., 1961. The Death and Life of Great American Cities, New York: Random House.
  • Jiang, J., Zhang, J., Zhang, H., and Yan, B., 2018. “Natural Soundscapes and Tourist Loyalty to Nature-Based Tourism Destinations: The Mediating Effect of Tourist Satisfaction”, Journal of Travel & Tourism Marketing, 35(2): 218-230. [https://doi.org/10.1080/10548408.2017.1351415]
  • Kebete, Y., 2021. “Promoting Slow Tourism to Wrestle the Challenges of Shorter Length of Tourist Stay: Implications for Sustainable Tourism”, Geo Journal of Tourism and Geosites, 39: 1388-1396. [https://doi.org/10.30892/gtg.394spl09-782]
  • Liu, T., Xia, J., and Crowe-Delaney, L., 2020. “Tourism Information Diffusion Through SNSs: A Theoretical Investigation”, Sustainability, 12(5): 1731. [https://doi.org/10.3390/su12051731]
  • Liu, Y. and Liao, W., 2021. “Spatial Characteristics of the Tourism Flows in China: A Study Based on the Baidu Index”, ISPRS International Journal of Geo-Information, 10(6): 378. [https://doi.org/10.3390/ijgi10060378]
  • Macqueen, J., 1967. “Some Methods for Classification and Analysis of Multivariate Observations”, in Proceedings of the 5th Berkeley Symposium on Mathematical Statistics and Probability, Volume 1: Statistics, edited by Le Cam, L.M. and Neyman, J., 281-297, Berkeley: University of California Press.
  • Navarro-Ruiz, S., Casado-Diaz, A.B., and Ivars-Baidal, J., 2020. “Modelling the Intra-Destination Behaviour of Cruise Visitors Based on a Three-Dimensional Approach”, Journal of Destination Marketing & Management, 18: 100470. [https://doi.org/10.1016/j.jdmm.2020.100470]
  • Paulino, I., Lozano, S., and Prats, L., 2021. “Identifying Tourism Destinations from Tourists’ Travel Patterns”, Journal of Destination Marketing & Management, 19: 100508. [https://doi.org/10.1016/j.jdmm.2020.100508]
  • Rochman, E.M.S., Khozaimi, A., Suzanti, I.O., Jannah, R., Khotimah, B.K., and Rachmad, A., 2022. “A Combination of Algorithm Agglomerative Hierarchical Cluster (AHC) and K-means for Clustering Tourism in Madura-Indonesia”, Journal of Mathematical and Computational Science, 12:62.
  • Takahashi, M., Endo, M., Ohno, S., Hirota, M., and Ishikawa, H., 2020. “Automatic Detection Method of Tourist Spots Using SNS”, Paper presented at the 10th International Conference on Web Intelligence, Mining and Semantics, Biarritz, France. [https://doi.org/10.1145/3405962.3405993]
  • Zhong, L., Sun, S., and Law, R., 2019. “Movement Patterns of Tourists”, Tourism Management, 75: 318-322. [https://doi.org/10.1016/j.tourman.2019.05.015]
  • Zhou, B., Qu, H., and Li, N., 2016. “How Tourist Attraction Agglomeration Affects a Regional Tourism Economy”, Tourism Analysis, 21(6): 603-616. [https://doi.org/10.3727/108354216X14713487283129]
  • 한국관광 데이터랩, “지역별 관광 현황”, 2024.07.04. 읽음. https://datalab.visitkorea.or.kr/datalab/portal/loc/getAreaDataForm.do
    Korea Tourism Datalab, “Regional Tourism Status”, Accessed July 4, 2024. https://datalab.visitkorea.or.kr/datalab/portal/loc/getAreaDataForm.do

Figure 1.

Figure 1.
Spatial distribution of hot spot and cold spot

Figure 2.

Figure 2.
Network graph of tourist destinationsNote: Using the Fruchterman-Reingold layout, tourist destinations that are connected are positioned closer together, while those that are not connected are placed farther apart. Additionally, thicker lines indicate higher proximity, signifying a greater likelihood that two tourist destinations are included in the same package tour product, which reflects stronger connectivity.

Figure 3.

Figure 3.
Heatmap of correlation coefficients between variables by spatial unit

Figure 4.

Figure 4.
Silhouette scores by number of clusters (K) by spatial unit

Figure 5.

Figure 5.
Distribution of tourist destinations by types

Table 1.

Variable descriptions

Table 2.

Descriptive statistics by spatial unit

Table 3.

Clusters by spatial unit

Table 4.

Differences in tourism expenditure by industry according to tourist destination types(Unit: million KRW)