
감마 분포 GLM을 활용한 고속도로 휴게소 매출액 추정 모형 개발
Abstract
Expressway service areas play a crucial role for road safety by addressing users' physiological needs and serving as evacuation sites during emergencies. Accurate revenue estimation is essential for developing appropriate and reasonable operational plans for these areas. However, predicting demand and revenue is challenging due to their unique characteristics: they are accessible only via expressways and are not the final destinations for users. Traditional quantitative methods, such as the gravity model, often fall short in addressing these challenges. Previous studies have proposed revenue estimation models, but they are difficult to apply during the planning stage because they rely on hard-to-obtain variables, such as entry rates and detailed traffic volumes. To address this limitation, this study introduces a new revenue estimation model for expressway service areas that uses easily accessible variables, making it suitable for use during the planning stages. We developed three Gamma-distribution generalized linear models using revenue data from 182 service areas from 2017 to 2021, which yielded Bayesian Information Criterion (BIC) values ranging from 8,001 to 8,226. After evaluating the model’s fit and verifying them with 2022 data, we identified the model with the best performance. Our analysis indicates that variables such as traffic volume, total floor area, express bus transfer service area, and distance to the previous service area positively impact revenue. Conversely, an excessively large gross floor area can negatively affect revenue. The findings from this study are expected to provide valuable insights for planning service areas in future expressway constructions.
Keywords:
Expressway Service Area, Revenue Estimation, Generalized linear model, Gamma distribution키워드:
고속도로 휴게소, 매출액 추정, 일반화 선형 모형, 감마 분포Ⅰ. 서 론
1. 연구의 배경 및 목적
고속도로 휴게소는 고속도로 이용객의 생리적 욕구 해소에 도움을 주고 운전자의 피로와 긴장 해소를 통해 사고 예방에 기여하는 등 고속도로 운영에 있어 필수 불가결한 시설이다(한국도로공사, 2018). 휴게소는 한국도로공사가 휴게소를 건설하여 직접 운영하는 직영 방식, 한국도로공사가 모든 시설 투자비를 부담하고 운영권만 민간이 가지는 민영 방식, 한국도로공사가 토지를 공급하고 민간이 건물을 건축하여 계약기간 동안 운영하고 계약 종료 후 한국도로공사에 기부채납하는 민자 방식으로 운영된다(김희선·이현석, 2013; 이규달, 2022). 하지만 대부분의 휴게소는 민영 혹은 민자 방식으로 운영되고 있는 상황으로, 고속도로 안전에 기여하는 휴게소의 안정적이고 지속가능한 운영을 위해서는 정확한 수요 추정과 이를 바탕으로 한 합리적인 운영 계획이 뒷받침되어야 한다.
일반적인 상업시설에 대한 수요 추정 방법론은 중력모형을 시작으로 다양하게 제시되어 왔고, 최근에는 “서울시 상권분석서비스”와 같이 딥러닝 모형에 기반을 둔 정확도 높은 수요 예측 서비스도 개발되고 있다. 그런데 고속도로 휴게소는 진출입이 고속도로를 통해서만 가능하다는 점, 휴게소가 이용객의 최종 목적지가 아니라는 점과 같이 일반적인 상업시설과는 상이한 특성을 가지고 있어 기존의 방법론을 적용하기 어려운 것으로 판단된다. 사례기반 추론기법(CBR: Case Based Reasoning) 또한 휴게소가 위치하는 고속도로의 개별적 특성으로 인하여 단순 적용에 어려움이 있다. 다중회귀모형을 기반으로 한 수요 추정 연구가 소수 진행된 바 있으나(김희선·이현석, 2013; 신종섭·홍일유, 2018), 휴게소 진입률 및 진입 교통량과 같이 현재 시점에서 전수자료 구득이 어려운 변수가 포함되어 있어 신규 개설을 계획하는 휴게소 대상으로는 적용이 원활하지 않다는 한계가 있다.
본 연구에서는 이러한 한계를 극복하고자 2017-2021년의 전국 휴게소 매출액 자료와 OpenAPI 등을 활용하여 원격으로 구득 가능한 자료를 활용해 매출액 추정 모형을 구축하고 Bayesian Information Criterion(BIC) 값을 기준으로 모형을 비교한 후 2022년 매출액 자료를 사용해 그 성능을 검증하고자 하였다. 관련 데이터의 기초 분석을 거친 후 휴게소 면적 관련 변수를 기준으로 세 개의 감마 분포 일반화 선형 모형을 구축하고, 각 모형의 검증 결과를 토대로 가장 합리적인 매출액 추정 모형을 제시하였다.
이후의 논의는 다음과 같다. 우선 2장에서는 휴게소 수요 추정과 관련된 선행연구를 검토하고, 3장에서 분석 방법을 설명한다. 4장에서는 분석과 검증의 결과를 토대로 매출액 추정 모형을 제시하고, 이를 바탕으로 5장에서 결론을 제시한다.
Ⅱ. 선행연구 검토
KDI(2021)에 따르면 정량적 수요 추정 방법 중 인과관계 분석법은 크게 여행수요모델과 계량경제모형으로 나눌 수 있는데, 각각의 모형에서 가장 널리 쓰이는 방법은 중력모형과 다중회귀모형이다. 중력모형은 거주지와 목적지 간의 거리 또는 여행시간에 따라 시설의 수요가 영향을 받는다는 점을 고려하여 수요를 예측하는데, 이에 따르면 인구와 수요는 양의 상관관계, 거리·소요시간과 수요는 음의 상관관계를 가지게 된다. 확률적 모형이 아닌 확정적 모형이라는 점과 일반적으로 공개된 통계 자료만으로 쉽게 산출할 수 있다는 장점으로 많은 수의 예비타당성 조사나 수요 추정 연구에 활용되어 왔다(최막중·김상균, 2002; 한상열, 2006; 모수원, 2009; 이가현·엄서호, 2009; KDI, 2021).
두 도시 사이에 위치한 마을에서 두 도시의 상권을 이용하는 비율이 도시의 인구에 비례하고 거리 제곱에 반비례하는 경향이 있다는 Reilly(1931)의 소매중력법칙에 관한 연구와 함께 본격적으로 상권분석 및 수요 추정에 활용되기 시작한(정진화, 2018) 중력모형은 Huff(1964)의 소매확률모형으로 보완·발전되었다(김예지, 2017). 이 모형은 각 점포가 잠재 소비자에게 주는 효용이 점포의 규모에 비례하고, 점포와 소비자 사이의 거리에 반비례한다는 확률론적 접근을 채택하고 있으며, 소매점, 백화점, 대형마트, 은행, 가구점, 극장 등의 다양한 시설에 대한 입지 및 매출액 분석에 활용되고 있다(태경섭·임병준, 2010; 김선철 외, 2012; 이평수·전동한, 2017; 정진화, 2018).
이렇게 중력모형 기반의 방법론이 상권분석 및 매출액 추정에 가장 일반적으로 활용되고 있지만(태경섭·임병준, 2010), 고속도로 휴게소는 일반적인 상업시설과 다른 특성을 보여 중력모형을 활용한 수요 추정이 적합한지에 대한 검토가 필요하다. 첫째, 중력모형은 수요 추정의 대상 시설을 목적지로 보지만 고속도로 휴게소는 대부분은 이용객의 최종 목적지가 아니다. 휴게소는 휴식, 화장실, 식사 등 생리적 욕구 해소를 위해 이용되는 경우가 대부분이고, 고속도로 이용자에게 이러한 생리적 욕구가 발생하지 않는다면 이용되지 않을 수도 있는 시설이다(정병두·김현, 2011; 한국도로공사, 2018). 둘째, 중력모형에서는 수요와 거리는 반비례하게 되는데, 고속도로 휴게소는 생리적 욕구 해소에 그 주된 이용 의의가 있기 때문에 이용 확률은 최초 출발지 또는 직전 이용 휴게소에서부터 거리가 멀어질수록 오히려 높아지게 된다(임현섭 외, 2009). 셋째, 고속도로 휴게소는 특정 지점, 즉 나들목(IC)을 통해서만 드나들 수 있는 폐쇄적인 도로상에 위치한 시설인 데다, 일부 양방향 휴게소를 제외한 대부분의 휴게소는 단일 방향 교통만 이용할 수 있도록 설계되어 있기 때문에 시설로의 접근이 제한적이라는 점도 또 다른 특성이다. 따라서 휴게소의 수요는 당해 휴게소가 속한 고속도로의 특성에 크게 의존하게 되는데, 고속도로의 특성은 구간에 따라 상이하기 때문에 합리적인 준거 시설의 선정도 어려워진다.
이러한 이유로 고속도로 휴게소의 수요 추정에 관한 대부분의 연구는 계량경제모형, 즉 통계적 분석 방법을 채택하였다(권영인 외, 2010; 정병두·김현, 2011; 김희선·이현석, 2013; 김준영, 2014; 신종섭·홍일유, 2018; 이현철 외, 2019). 계량경제모형 중 수요 추정에 가장 널리 쓰이는 다중회귀모형은 수요가 이에 영향을 미치는 다양한 변수, 즉 독립변수들의 함수로 표현될 수 있다는 가정하에 각 변수에 대한 계수를 추정하는 방법이다(KDI, 2021). 모형에는 종속변수에 영향을 미칠 것으로 생각되는 다양한 변수들을 입력할 수 있는데, 특정 독립변수의 ‘규모의 경제 효과’를 확인하거나 최적해를 찾고자 하는 경우 제곱 변수를 함께 투입하여 2차 회귀모형(quadratic regression model)을 구축하기도 한다(이상경·신우진, 2001; Kim and Kim, 2019).
고속도로 휴게소의 수요 추정 관련 실증 연구 결과를 종합해보면, 수요에는 휴게소 시설의 특성과 휴게소가 속한 고속도로 구간 특성이 함께 영향을 미치는 것을 알 수 있다(표 1). 관련 연구는 크게 휴게소 선택과 관계있는 요인에 집중한 연구와 휴게소의 매출액에 집중한 연구로 나눌 수 있다.
우선 권영인 외(2010)와 정병두·김현(2011)은 네 곳의 휴게소 이용객 417명을 대상으로 한 설문조사를 통해 휴게소 선택에 영향을 미치는 요소를 조사하였고, 이를 활용한 요인분석을 통해 휴게소의 입지 조건, 시설 내용, 판매 상품이 전체 분산의 약 65.3%를 설명함을 밝혔다. 김준영(2014)은 한국도로공사에서 발표한 고속도로 부대사업시설 운영실태 2013년 조사보고서를 바탕으로 남북방향 고속도로와 동서방향 고속도로를 분리하여 소형차의 휴게소 이용률을 예측하는 모형을 구축하였다. 두 모형 모두 일평균통행량이 높을수록 이용률은 감소하고, 전·후 휴게소와의 간격이 길수록 이용률은 증가하는 것으로 나타났다.
한편, 김희선·이현석(2013), 신종섭·홍일유(2018), 이현철 외(2019)의 연구는 휴게소 매출액에 집중하였다. 김희선·이현석(2013)은 139개 휴게소의 2005-2010년 연간 매출액 자료를 활용한 패널 분석을 실시하였다. 그들은 일평균통행량을 포함하고 지역 변수를 제외한 모형과 일평균통행량을 제외하고 지역 변수를 포함한 모형을 만들어 분석하였는데, 두 모형 모두 연평균통행량, 주유소 보유 여부, 휴게소 면적이 매출액에 정의 영향을 미치는 것으로 나타났다. 신종섭·홍일유(2018)는 2014년 전국 휴게소 일제조사 자료를 활용해 178개 고속도로 휴게소의 일매출액에 대한 다중회귀분석을 실시하였다. 그 결과 전방 고속도로의 통행 교통량, 휴게소 진입 교통량, 주차 면수가 일매출액에 정의 영향을 미치는 것으로 분석되었다. 해당 모형의 설명력은 다른 고속도로 휴게소 매출액 추정 모형에 비해 상당히 높은 수치인 약 0.850이었는데, 이를 통해 실제로 휴게소에 진입하는 교통량이 매출액의 정확한 추정에 크게 기여할 수 있다는 점을 알 수 있다. 이현철 외(2019)는 수도권 25개 휴게소의 일매출액과 휴게소 및 고속도로 특성 간의 상관관계를 분석해 부지면적, 시설면적, 주차 면수, 일교통량, 이용인원, 객단가가 일매출액과 정의 상관관계를 보임을 확인하였다.
지금까지의 휴게소 수요 추정 관련 선행연구의 한계를 정리하면 다음과 같다. 첫째, 사용된 데이터의 한계로 기존의 연구만으로는 최신의 휴게소 매출 동향을 설명하기 어려울 것으로 예측된다. 특히 COVID-19의 영향으로 고속도로 이용 패턴이 크게 달라졌기 때문에 최신 데이터를 활용하여 새로운 분석을 수행할 필요가 있다(장동익, 2021). 둘째, 휴게소의 선택 또는 매출액에 영향을 미치는 요인들을 분석한 연구들은 주로 개별 요인의 효과에 집중하고 있어 이러한 요인들을 종합적으로 검토한 연구는 아직 없는 실정이다. 셋째, 신종섭·홍일유(2018)에서 사용한 휴게소 진입 통행량과 같은 일부 변수의 경우 신규로 출점 예정인 휴게소의 수요 추정에 있어서는 적용이 불가능하다는 한계가 있다. 지속가능한 운영이 가능한 휴게소 설계를 위해서는 고속도로 개통 전에 구득할 수 있는 정보만을 활용하여 휴게소의 매출액을 사전에 추정할 수 있는 모형의 개발이 필요하다. 넷째, 다중회귀모형은 그 예측치가 음의 값을 가질 수 있는 한계가 있으므로 보다 엄밀한 예측을 위해서는 예측치가 양의 값만을 가지는 모형을 활용해야 할 필요가 있다. 따라서, 본 연구에서는 이러한 한계를 극복하기 위하여 최신의 매출액 데이터를 기반으로 휴게소의 매출액에 영향을 주는 다양한 요인들 중 고속도로 개통 전에 구득 가능한 것들을 종합하여 휴게소 매출액 추정 모형 구축을 시도하였다.
Ⅲ. 분석의 틀
1. 분석 대상 및 자료
본 연구는 한국도로공사(2018)에서 조사한 196개 휴게소 중 옥천(만남) 휴게소와 같이 고속도로 외부에 위치한 특수 휴게소와 휴게소 매출액 자료 구득이 불가능한 휴게소 10개소와 복합휴게소 4개소를 제외한 전국 182개 휴게소를 대상으로 한다(그림 1). 규모나 매출액 측면에서 일반 휴게소와 매우 큰 차이를 보이는 복합휴게소의 경우, 모형 적합도에 부정적인 영향을 미칠 것으로 예상되어 분석에서 제외하였다(한국도로공사, 2018). 또한, 한국도로공사(2018)는 양방향 휴게소를 두 개의 휴게소로 보고 별개의 자료를 구축하였으나, 본 연구에서 활용한 매출액 데이터는 양방향 휴게소의 매출액이 방향별로 집계되지 않고 하나로 집계되었기 때문에 양방향 휴게소를 하나의 휴게소로 취급하여 분석을 진행하였다. 이때, 방향 별로 값이 다른 변수의 경우, 그 성격에 따라 평균값(예: 전·후 휴게소와의 거리 변수) 혹은 합계(예: 통행량)를 활용하였다.
상술한 과정을 통해 선정된 전국 182개 휴게소의 6년간의 연매출액 자료를 종속변수로 활용하였다. 구체적으로 2017년에서 2021년까지 총 5개년의 매출액은 모형 학습을 위해 활용하였으며, 2022년 자료는 추정모형의 정확도 검증용, 즉 테스트 데이터로 활용하였다.
독립변수 선정에 앞서 선행연구를 바탕으로 휴게소 매출액에 영향을 미칠 것으로 예상되는 변수를 검토하였으며, 최종적으로 분석에 적용된 변수와 자료 출처는 <표 2>와 같다. 선행연구에서 제시된 요인 중 검토 과정에서 제외된 변수는 다음과 같다. 우선, 선행연구에서는 진입교통량이 포함된 매출액 추정 모형의 설명력이 상당히 높게 나타났으나(신종섭·홍일유, 2018), 자동으로 집계되는 데이터만으로 매출액을 추정하고자 하는 본 연구의 목적에 따라 전수조사 외에는 구득이 어려운 진입률, 진입 교통량과 같은 변수는 모형에서 제외하였다. 또한, 주차장 면수의 경우 매출액에 영향을 주거나 매출액과 상관관계가 있다고 보고되었으나(신종섭·홍일유, 2018; 이현철 외, 2019), 부지면적 및 연면적 변수와 높은 다중공선성이 확인되어 모형에서 제외하였다. 마지막으로, 전·후 휴게소와의 거리 변수에서 이전 또는 이후 휴게소가 존재하지 않을 경우 각각 당해 휴게소가 위치한 고속도로별 휴게소 간격의 평균값으로 대체하였다.
독립변수는 선행연구를 참고하여 교통 관련 변수(Traffic), 면적 관련 변수(Area), 휴게소 속성(Attributes of service area), 타 휴게소와의 거리(Distance to other service areas), 그리고 지역 및 연도 더미 변수로 구성하였다. 이 중 핵심 검증변수인 면적 관련 변수의 경우, 선행연구에서 부지면적과 연면적 모두 매출액과 양의 상관관계가 있음이 확인되었으며(이현철 외, 2019), 본 연구의 예비 분석 결과 매출액과 비선형 관계를 보이는 것으로 확인되어 다음과 같이 모형을 설정하였다. 첫째, 부지면적과 연면적 중 매출액에 더 큰 영향을 미치는 변수를 파악하기 위해 두 변수를 동시에 모형에 투입하였다. 둘째, 면적과 매출액의 비선형 관계(즉, 면적이 증가할수록 매출액이 점증하는 규모의 경제 효과가 나타나는지)를 구체적으로 파악하기 위해, 부지면적 및 연면적 변수와 함께 평균 중심화 변환을 거친 제곱 변수를 모형에 함께 투입하였다. 다만, 이렇게 생성된 4개의 변수를 하나의 모형에 모두 투입할 경우, (1) 다중공선성 가능성이 커지고, (2) 해석이 복잡해지며, (3) 무엇보다 최적의 면적 변수 조합을 확인하기 어렵기 때문에, 다음과 같이 세 가지 변수 조합으로 모형을 설정하였다: ① 부지면적+연면적 모형, ② 부지면적+부지면적제곱 모형, ③ 연면적+연면적제곱 모형.
면적 변수 이외의 독립변수에 대한 설명은 다음과 같다. 우선 선행연구에서는 공통적으로 고속도로 통행량을 독립변수로 활용하였는데, 동일한 통행량이라도 통행속도는 다를 수 있으므로(Rakha and Crowther, 2002) 휴게소가 위치한 구간의 고속도로 통행량과 통행속도를 함께 독립변수로 추가하였다. 주유소 보유 여부 또한 매출액에 정의 영향을 주는 것으로 제시되었는데(김희선·이현석, 2013), 기술통계 분석 결과 대부분의 휴게소가 주유소를 보유한 것으로 확인되어 최종 모형에서는 제외하였다. 다만 LPG 충전소가 주유소와 함께 있을 때의 휴게소의 유인력이 주유소만 있을 때의 유인력보다는 높을 것으로 예상되어, 두 시설 모두를 가지고 있는 경우를 더미변수로 생성하여 모형에 추가하였다. 두 시설을 모두 보유한 휴게소는 전체의 약 74.3%인 것으로 확인되었다. 이 외에 선행연구에서 매출액 또는 휴게소 선택에 영향을 미치는 것으로 알려진 환승휴게소 여부, 특산물 판매 여부 등과 같은 휴게소 속성, 그리고 전·후 휴게소와의 거리를 독립변수로 추가하였다. 마지막으로 휴게소가 위치한 지역과 각 매출액이 발생한 연도를 더미변수로 생성하여 모형을 구축하였다.
2. 분석 방법
본 연구에서는 고속도로 휴게소 매출액을 추정하기 위하여 감마 분포 일반화 선형 모형(Gamma Distribution Generalized Linear Model)을 적용한다. 일반화 선형 모형은 종속변수가 특정 분포를 따른다는 가정하에 모수를 추정한다(McCulloch et al., 2011). 일반화 선형 모형에 널리 사용되는 분포 중 감마 분포는 양의 실수를 값으로 가지는 연속확률분포로, 매출액이나 수요와 같이 음의 값을 가질 수 없는 변수의 모형을 구축할 때 주로 사용된다(Swan, 2002; Kimms and Muller-Bungart, 2007; Oliveira et al., 2013). 본 연구의 종속변수인 고속도로 휴게소의 연매출액 또한 음의 값을 가질 수 없으므로 감마 분포 일반화 선형 모형의 적용이 적합한 것으로 생각된다. 한편, 김희선·이현석(2013)과 같이 패널 분석을 수행한 연구도 있었으나, 본 연구의 목적은 휴게소의 합리적인 운영 계획 수립을 지원하고자 하는 것이므로 샘플 외 추정(out-of-sample estimation)이 보다 용이하도록 감마 분포 일반화 선형 모형을 최종 분석 방법으로 선정하였다. 모형의 분석에는 R 프로그래밍 언어의 glm 패키지를 사용하였다.
상술한 과정을 통해 구성한 세 모형 중 최적 모형을 선택하기 위한 과정은 다음과 같다. 우선, 2017년-2021년의 5개년도 데이터를 활용하여 세 모형의 계수를 추정하고, BIC 값을 활용하여 최적의 후보 모형을 정량적으로 선택한다. BIC는 정보 이론에 기반을 둔 모형 기준으로, 낮을수록 정보의 손실이 적고 모형의 적합도가 더 높은 것을 의미한다(Yan and Su, 2009; Montgomery et al., 2021). 이러한 특성을 모형(최적 변수 조합) 선택의 기준으로 활용하여 가장 낮은 BIC 값을 가지는 모형을 선택할 수 있다. 다음으로, 모형의 계수 추정에 사용되지 않은 2022년의 데이터를 활용하여 모형의 예측 성능을 평가한다. 이를 위해, Mean Absolute Error (MAE, 평균 절대 오차)와 Root Mean Squared Error (RMSE, 평균 제곱근 오차) 값을 사용한다. 첫 단계에서 선택한 모형의 성능을 다른 모형의 성능과 비교하고, 그 모형의 최종 선택 여부를 판단한 후 최종 모형을 제시한다.
Ⅳ. 분석 결과
1. 일반화 선형 모형 분석 결과
감마 분포 일반화 선형 모형 분석 실시에 앞서 주요 연속변수에 대한 기술통계를 살펴보고(표 3), 해당 변수와 매출액 간의 상관관계를 분석하였다(표 4). 휴게소의 연매출액은 속도와는 음의 상관관계에 있고 통행량, 부지면적, 연면적과는 양의 상관관계에 있는 것으로 분석되었다. 이는 수도권 휴게소를 대상으로 한 이현철 외(2019)의 분석 결과와 동일한 것으로, 본 연구에서 활용한 데이터의 특성이 선행연구의 그것과 일치함을 확인할 수 있는 결과이다.
감마분포 일반화 선형 모형 분석 결과는 <표 5>와 같다. 우선, 세 모형 모두에서 우도비 검정(likelihood ratio test)과 왈드 검정(wald test)은 모두 0.001 수준에서 유의한 것으로 나타나 모델의 유의성에는 문제가 없는 것으로 확인되었다. 또한, VIF 값도 모든 모형의 모든 변수에서 5 미만으로 나타나 다중공선성의 문제가 없음을 알 수 있었다. BIC 값은 연면적과 연면적제곱 변수를 포함한 모형 3이 8,000.85로 가장 낮게 나타나, 모형 3을 최적의 후보 모형으로 선정하였다. 모형 3을 기준으로 유의수준 5% 이내에서 휴게소 연매출액에 통계적으로 유의미한 영향을 미치는 요인을 살펴보면 다음과 같다.
우선, 속도는 연매출액에 유의미한 영향이 없지만, 통행량은 연매출액에 유의하게 양의 영향을 미치는 것으로 분석되었다. 상관관계 분석에서는 속도와 연매출액이 음의 상관관계에 있는 것으로 확인되었으나, 다른 변수를 고려한 결과 속도는 연매출액에 미치는 영향이 유의하지 않은 것으로 나타났다.1)
모형 3에 포함된 면적 관련 변수인 연면적과 연면적제곱 변수의 경우, 연면적은 유의미한 양의 영향을, 연면적제곱은 유의미한 음의 영향을 매출액에 주는 것으로 나타났다. 이는 연면적이 늘어날수록 매출액이 늘어나나, 연면적 약 3,680 m2 이상에서는 규모의 부의 효과가 발생해 연면적이 증가함에 따라 오히려 매출액이 감소한다는 것을 의미한다. 이현철 외(2019)는 톨게이트 부속 휴게소 등 특수형 휴게소는 일반형 휴게소에 비해 상대적으로 연면적이 작지만 객단가는 높게 나타난다고 보고하였고, 한국도로공사(2018)는 휴게소 규모가 커질수록 이용률은 감소하는 경향이 있음을 확인하였다. 이를 고려하면, 규모에 따른 객단가와 이용률의 변화가 규모의 부의 효과를 발생시킨 것으로 추정할 수 있다.
휴게소 속성 변수의 경우, 환승과 특산물 변수가 연매출액에 유의한 양의 영향을 미치는 것으로 확인되었다. 환승휴게소는 환승객 처리를 위해 고속버스가 필수적으로 정차하는 휴게소로, 고속버스 승객의 휴게소 이용이 높은 연매출액으로 이어진 것으로 보인다(이재홍 외, 2014). 특산물 변수의 경우 권영인 외(2010)와 정병두·김현(2011)이 휴게소 선택에 긍정적인 영향을 주는 요소로 제시한 바 있는데, 이러한 점이 실제 연매출액에도 유의미한 영향을 주는 것이 본 연구를 통해 실증적으로 확인되었다. 한편, 화물휴게소는 연매출액에 유의하게 음의 영향을 주는 것으로 파악되었다. 화물휴게소는 다른 휴게소에 비해 대다수의 매출을 차지하는 일반 이용객의 이용률이 낮은 것으로 파악된 바 있는데(한국도로공사, 2018), 이러한 점이 분석 결과에 반영된 것으로 생각된다.
경쟁 휴게소 특성 변수 중 전 휴게소까지의 거리는 매출액에 양의 영향을 미치는 것으로 분석되었다. 김준영(2014)과 한국도로공사(2018)는 휴게소 간 거리가 휴게소 이용률에 유의미한 영향을 미친다고 제시한 바 있다. 이를 통해 미루어 보았을 때, 직전 휴게소로부터의 거리가 멀어질수록 운전자가 현재 마주치는 휴게소를 선택할 확률이 높아지는 현상이 모형의 분석 결과에 반영된 것으로 생각할 수 있다.
지역 변수의 경우 영남과 호남지방의 휴게소 매출액이 수도권의 매출액보다 유의미하게 높은 것으로 나타났다. 최근 조사에서 수도권 휴게소의 이용률이 타지역의 이용률에 비해 매우 낮게 나타났고, 호남권 휴게소의 이용률이 가장 높게 나타난 점을 고려하면, 지역에 따른 이용률의 차이가 매출액에 직접적인 영향을 미쳤다고 추정할 수 있다(한국도로공사, 2018).
연도 변수는 모든 모형에서 2020년 또는 2021년일 경우 연매출액이 유의미하게 줄어드는 것으로 확인되었다. 해당 시기는 COVID-19 유행으로 인하여 고속도로 이용객이 크게 줄어든 시기였는데, 이러한 현상이 연매출액에 정확히 반영된 것으로 보인다.
2. 휴게소 수요 추정 모형 검증
세 모형의 성능을 재확인하고 최종 모형을 확정하기 위해 2022년 데이터를 활용하여 ‘모형을 통해 추정된 매출액’과 ‘실제 매출액’의 차이를 비교하고 MAE와 RMSE를 기준으로 모형의 정확도를 확인하였다. 검증은 2022년의 매출액이 확인된 한국도로공사 구간 소속 휴게소 중 복합휴게소를 제외한 전국 182개 휴게소를 대상으로 하였다. 앞서 제시한 일반화 선형 모형 분석 결과에 따르면 2020년과 2021년은 COVID-19로 인해 다른 해에 비해 유의미하게 매출액이 낮았다. 2022년 역시 COVID-19의 영향을 받은 해이지만 그 정도를 수치화하기 어려우므로 2021년과 동일한 영향을 받은 것으로 가정하여 2021년 더미 변수의 값을 1로 설정하고 검증을 진행하였다.
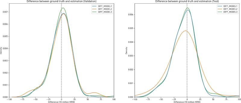
<표 6>은 검증 결과를 나타낸 것이고 <그림 2>는 오차의 분포를 파이선을 활용하여 시각화한 것이다. 결과에 따르면 세 모형 중 모형 3의 RMSE가 24.70으로 가장 낮게 나타났다. 모형 1과 2는 각각 26.75, 50.97의 높은 RMSE 값을 보이면서 다소 낮은 예측력을 보였다. MAE 또한 모형 3이 17.43으로 가장 낮았고, 모형 1과 2가 각각 18.01, 21.91로 뒤를 이었다. 연면적제곱 변수를 포함한 모형 3이 상대적으로 높은 예측력을 보여, 연면적의 부의 규모의 효과를 고려하였을 때 휴게소의 매출액을 보다 정확하게 예측할 수 있다는 점이 확인되었다. 검증 결과에 따르면 모형 3이 가장 낮은 MAE와 RMSE를 가졌고, BIC 값 또한 세 모형 중 가장 낮게 나타났기에 모형 3을 고속도로 휴게소 매출액 추정 모형으로 최종 선정하였다.
Ⅴ. 결 론
본 연구는 고속도로 휴게소에 대한 합리적인 수요 추정 방법론 개발을 위하여, 전국 182개 휴게소의 2017년 이후 매출액 자료를 활용하여 매출액 추정 모형을 구축하였다. 선행연구 검토를 토대로 후보 변수를 선정하고 면적 관련 변수의 세 가지로 조합하여 감마 분포 일반화 선형 모형들을 구축하였다. 세 모형 모두 모형의 유의성에 문제가 없는 것으로 확인되었고, BIC 값이 가장 낮은 모형 3, 즉 연면적과 연면적 제곱 변수를 포함한 모형을 최적의 후보 모형으로 선정하였다. 이후, 모형 구축에 활용하지 않은 2022년 매출액 자료를 통해 각 모형의 성능을 검증한 결과 모형 3이 가장 낮은 MAE와 RMSE 값을 가졌고, BIC 값 또한 가장 낮게 산출되었기에 연면적과 연면적제곱 변수로 구성된 모형 3을 최종 모형으로 제시하였다.
모형 3을 기반으로 0.05 수준에서 유의하게 휴게소 매출액에 영향을 미치는 요인을 정리하면 다음과 같다. 첫째, 연면적은 매출액에 양의 영향을, 연면적제곱은 음의 영향을 주는 것으로 나타났다. 이는 즉, 연면적에 규모의 부의 효과가 있다는 점을 시사한다. 둘째, 환승휴게소 여부, 지역 특산물 판매 여부는 선행연구에서 알려진 바와 같이 매출액에 양의 영향을 주는 것으로 확인되었다. 셋째, 화물휴게소는 일반휴게소해 비해 매출액에 부정적인 영향을 주는 것으로 나타났다. 넷째, 직전 휴게소와의 거리가 멀어질수록 현재 휴게소의 매출액이 늘어나는 것으로 분석되었다. 다섯째, COVID-19는 휴게소의 매출액에 부의 영향을 준 것으로 확인되었다.
본 연구의 의의는 다음과 같이 정리할 수 있다. 첫째, 본 연구는 단순 다중회귀모형이 아닌 감마 분포 일반화 선형모형을 사용함으로써, 분석모형 측면에서 개선된 측면을 보여줄 수 있었다. 단순 다중회귀모형에서는 종속변수가 음의 값을 가질 수 있으므로 추정 결과 실제로 발생할 수 없는 음의 매출액이 도출될 우려가 있다. 하지만, 감마 분포 일반화 선형모형은 종속변수가 양의 값만을 가질 수 있으므로 보다 엄밀한 매출액 추정이 가능할 것으로 기대된다. 둘째, 진입률이나 진입 교통량처럼 데이터 수집에 높은 비용을 요하거나 건축 전에 구득이 불가능한 실측자료를 사용하지 않더라도 매출액을 추정할 수 있는 모형을 개발하였다. 특히, 이 과정에서 2017년부터 2022년까지의 최신의 데이터를 활용하였기 때문에 본 연구의 결과를 향후의 신규 휴게소 운영 계획에 실제로 적용할 수 있을 것으로 기대된다. 또한, 이를 통해 고속도로 휴게소를 적정 규모로 설계하여 휴게소의 안정적이고 지속가능한 운영에 기여하고, 장기적으로 휴게소 운영자와 고속도로 운영자의 분쟁 저감에 도움을 줄 수 있을 것으로 생각된다. 임대료와 관련하여 민간사업자와 도로공사 간의 갈등이 많이 발생하고 있는 만큼(이상재, 2021; 김상효, 2023), 본 연구의 분석 결과는 향후 고속도로 건설 시 휴게소 공급을 계획함에 있어 그 활용 가치가 상당히 높을 것으로 생각된다.
본 연구의 목적은 원격으로 구득 가능한 데이터를 활용하여 고속도로 휴게소의 매출액을 신규 개설 이전에 추정할 수 있는 모형을 개발하는 것이었다. 이에 실제 운영 과정에서 구득할 수 있는 진입 교통량 등의 요인을 의도적으로 배제하였으나, 이들은 매출액을 설명하는 데에 중요한 요인인 만큼 모형의 절대적인 예측 성능은 다소 낮게 나타났다는 한계가 있다. 때문에, 고속도로 휴게소의 개설 이전에 이들 요인을 예측하는 방법과 연계하여 추가 연구를 진행한다면 더욱 정확한 예측 모형을 개발할 수 있을 것으로 기대된다. 또한, 상당수의 휴게소 속성 변수가 2018년을 기준으로 만들어져 있어 2019년 이후의 변화를 고려하지 못한 점도 한계로서 제시할 수 있다. 향후 추가 자료를 기반으로 패널 모형 등의 방법론을 적용한다면 예측 성능 향상을 기대할 수 있을 것으로 생각된다.
Acknowledgments
이 논문은 대한국토·도시계획학회 2023 춘계산학학술대회 우수논문상 수상작을 수정·보완하여 작성하였음.
본 논문의 데이터를 공유해준 K휴게소와 ○○국회의원실에게 감사를 드림.
Notes
References
-
권영인·이창운·임재경·정병두, 2010. “고속도로 휴게소의 이용 특성과 선택요인에 관한 연구”, 「교통연구」, 17(4): 75-84.
Kwon, Y.I., Lee, C.W,, Lim, J.K., and Jung, B.D., 2010. “A Study on User’s Characteristics and Selection Factors of the Highway Service Area”, Journal of Transport Research, 17(4): 75-84. [ https://doi.org/10.34143/jtr.2010.17.4.75 ]
-
김선철·임병준·유선종, 2012. “허프모형을 이용한 은행점포의 시장점유율 추정에 관한 연구”, 「부동산연구」, 22(3): 235-259.
Kim, S.C., Rhim, B.J., and Yoo, S.J., 2012. “A Study of the Bank Branches Market Share Analysis using the Huff Model”, Korea Real Estate Review, 22(3): 235-259. -
김예지, 2017. “허프 모형을 이용한 복합상업시설의 상가 매출액 및 임대료 영향요인 분석”, 건국대학교 석사학위논문.
Kim, Y.J., 2017. “An Analysis of Factors Affecting the Sales Account and Rental Value of Shops in the Complex Shopping Mall in Yeongdeungpo-gu: Using the Huff Model”, Master Thesis, Konkuk University. -
김준영, 2014. “고속도로 휴게소 이용률 예측 모형의 개발에 관한 연구 – 소형차 이용률 예측 중심으로 –”, 한양대학교 석사학위논문.
Kim, J.Y., 2014. “Development of Model for Predicting Utilization Rate on Highway Service Areas: Focused on Passenger Cars Utilization Rate”, Master Thesis, Hanyang University. -
김희선·이현석, 2013. “고속도로 휴게소의 매출 및 임대료 영향요인 분석”, 「부동산연구」, 23(2): 35-52.
Kim, H.S. and Lee, H.S., 2013. “An Empirical Analysis for Sales and Rent on Expressway Service Areas”, Korea Real Estate Review, 23(2): 35-52. -
모수원, 2009. “중력모형을 이용한 아웃바운드 관광수요의 추정”, 「호텔관광연구」, 11(2): 137-145.
Mo, S.W., 2009. “Estimation of the Demand for the Outbound Tourism Using a Gravity Model”, Journal of Hospitality and Tourism Studies, 11(2): 137-145. -
신종섭·홍일유, 2018. “고속도로 휴게소의 매출액과 선행요인 간의 영향관계에 관한 탐색적 연구”, 「한국경영과학회지」, 43(4): 33-43.
Shin, J.S. and Hong, I.Y., 2018. “An Exploratory Study of the Antecedents to Korean Expressway Rest Area’s Revenues”, Journal of the Korean Operations Research and Management Science Society, 43(4): 33-43. [ https://doi.org/10.7737/JKORMS.2018.43.4.033 ]
-
이가현·엄서호, 2009. “SK社의 T MAP 내비게이션 목적지 설정 자료를 활용한 중력모형 근거 국내여행 수요모형 개발에 관한 연구”, 「국토연구」, 61: 275-286.
Lee, G.H. and Um, S.H., 2009. “Developing Domestic Travel Demand Model Based on Gravity Model Using SK T MAP Navigation Data”, The Korea Spatial Planning Review, 61: 275-286. [ https://doi.org/10.15793/kspr.2009.61..015 ]
-
이규달, 2022. “고속도로 휴게소의 매출액에 미치는 영향에 관한 연구: 입지조건과 서비스시설 및 고객만족도를 중심으로”, 세한대학교 박사학위논문.
Lee, G.D., 2022. “A Study on the Influence of Highway Rest Area on Sales –Centered on Geographical Conditions, Service Facilities, and Customer Satisfaction–”, Ph. D. Dissertation, Sehan University. -
이상경·신우진, 2001. “재건축 가능성이 아파트 가격에 미치는 영향”, 「국토계획」, 36(5): 101-110.
Lee, S.K. and Shin, W.J., 2001. “The Effect of Reconstruction Probability on Apartment Price”, Journal of Korea Planning Association, 36(5): 101-110. -
이재홍·강경표·백승걸, 2014. “고속도로 환승휴게소 이용패턴 및 운영효율성 분석”, 대한교통학회 제71회 학술발표회, 경북 상주: 교통안전공단.
Lee, J.H., Kang, K.P., and Baek, S.K., 2014. “Analysis of Passenger Pattern and Operational Efficiency Evaluation of Bus Transfer Service at Expressway Rest areas”, Proceedings of the 71st KOR-KST Conference, Gyeongbuk Sangju: Korea Transportation Safety Authority. -
이평수·전동한, 2017. “Huff 모형에 기반한 홈퍼니싱 매장의 입지모형”, 「물류학회지」, 27(1): 37-48.
Lee, P.S. and Jeon, D.H., 2017. “An Extended Huff Model for Korean Home-furnishing Location Strategy”, Korea Logistics Review, 27(1): 37-48. [ https://doi.org/10.17825/klr.2017.27.1.37 ]
-
이현철·이태봉·박태원, 2019. “수도권 고속도로 휴게시설 특성요인과 매출에 관한 실증 분석”, 「도시정책연구」, 10(3): 83-100.
Lee, H.C., Lee, T.B., and Park, T.W., 2019. “An Empirical Study on Characteristics of the Local Highway Facilities Located in the Urban Highway and Sales of Highway Service Area”, Journal of Urban Policies, 10(3): 83-100. [ https://doi.org/10.21447/jup.2019.10.3.83 ]
-
임현섭·장현호·이영인·백승걸, 2009. “고속도로 운전자의 개별행태를 반영한 휴게소 이용 수요 추정”, 대한교통학회 제60회 학술발표회, 서울.
Im, H.S., Chang, H.H., Lee, Y.I., and Baek, S.K., 2009. “Estimation of Use of Rest Area with Freeway Drivers' in Dividual Behavior”, Proceedings of the 60th KOR-KST Conference, Seoul. -
장동익, 2021. “COVID-19로 인한 교통부문 영향”, 「교통 기술과 정책」, 18(1): 17-28.
Jang, D.I., 2021. “Impact on the Transportation Sector from COVID-19”, Korean Society of Transportation, 18(1): 17-28. -
정병두·김현, 2011. “고속도로 휴게소 선택의 요인분석에 관한 연구”, 「국토계획」, 46(2): 299-307.
Jung, B.D. and Kim, H., 2011. “A Study on Analysis of Factors Influencing Choice of the Highway Service Area”, Journal of Korea Planning Association, 46(2): 299-307. -
정진화, 2018. “신규 백화점의 점유율 예측: 신용카드 자료와 허프모델을 이용한 분석”, 「Asia-Pacific Journal of Business & Commerce」, 10(1): 1-18.
Chung, J.H., 2018. “Estimating Market Share at a New Department Store Location: An Application of Transaction Data and Huff Model”, Asia-Pacific Journal of Business & Commerce, 10(1): 1-18. [ https://doi.org/10.35183/apjbc.2018.03.10.1.1 ]
-
최막중·김상균, 2002. “고용 및 녹지 접근성을 동시에 고려한 잠재력 모형의 주거입지 수요추정”, 「국토계획」, 37(2): 55-63.
Choi, M.J. and Kim, S.K., 2002. “Estimation of Residential Location Demand Based on the Modified Potential Model Incorporating both Employment and Open Space Accessibility”, Journal of Korea Planning Association, 37(2): 55-63. -
태경섭·임병준, 2010. “상권경쟁을 고려한 신규점포의 입지선정에 관한 연구: 서울시 대형마트를 대상으로: 서울시 대형마트를 대상으로”, 「대한지리학회지」, 45(5): 609-627.
Tae, K.S. and Rhim, B.J., 2010. “A Study for Locating of a New Store Considering Competition for Trading Area: Focusing on the Case of Hypermarket in Seoul Metropolitan Area”, Journal of the Korean Geographical Society, 45(5): 609-627. -
한국도로공사, 2018. 「휴게소 중장기 설치계획 수립 및 합리적인 휴게시설 주차장 규모 산정기준 연구」, 김천.
Korea Expressway Corporation, 2018. Research on Mid- and Long-term Service Area Construction Plan and Reasonable Calculation of Service Area Parking Lot Size, Gimcheon. -
한상열, 2006. “국립공원 탐방수요모형의 개발: 시간거리를 이용한 중력모형의 적용”, 「한국산림휴향학회지」, 10(1): 13-19.
Han, S.Y., 2006. “Developing Demand Model of National Parks: An Application of Gravity Model Using Travelling Time”, Journal of the Korean Institute of Forest Recreation, 10(1): 13-19. -
KDI, 2021. 「예비타당성조사 수행을 위한 세부지침 - 문화·관광부문 연구」, 세종.
Korea Development Institute, 2021. Reaserch on Detailed Guideline for Premilinary Feasibility Test: Culture and Tourism, Sejong. -
Huff, D.L., 1964. “Defining and Estimating a Trading Area”, Journal of Marketing, 28(3): 34-38.
[https://doi.org/10.1177/002224296402800307]
-
Kim, J. and Kim, S., 2019. “Finding the Optimal D/H Ratio for an Enclosed Urban Square: Testing an Urban Design Principle Using Immersive Virtual Reality Simulation Techniques”, International Journal of Environmental Research and Public Health, 16(5): 865.
[https://doi.org/10.3390/ijerph16050865]
-
Kimms, A. and Muller-Bungart, M., 2007. “Simulation of Stochastic Demand Data Streams for Network Revenue Management Problems”, Or Spectrum, 29: 5-20.
[https://doi.org/10.1007/s00291-005-0020-5]
-
McCulloch, C.E., Searle, S.R., and Neuhaus, J.M., 2011. Generalized, Linear, and Mixed Models, New Jersey: John Wiley & Sons.
[https://doi.org/10.1002/9780470057339.vag009.pub2]
- Montgomery, D.C., Peck, E.A., and Vining, G.G., 2021. Introduction to Linear Regression Analysis, New Jersey: John Wiley & Sons.
-
Oliveira, R. Pedro, M.I., and Marques, R.C., 2013. “Efficiency Performance of the Algarve Hotels Using a Revenue Function”, International Journal of Hospitality Management, 35: 59-67.
[https://doi.org/10.1016/j.ijhm.2013.05.005]
-
Rakha, H. and Crowther, B., 2002. Comparison of Greenshields, Pipes, and Van Aerde car-following and traffic stream models, Transporation Research Record, 1802(1): 248-262.
[https://doi.org/10.3141/1802-28]
- Reilly, W.J., 1931. The Law of Retail Gravitation, New York: William J. Reilly Co.
-
Swan, W.M., 2002. “Airline Demand Distributions: Passenger Revenue Management and Spill”, Transportation Research Part E: Logistics and Transportation Review, 38(3-4): 253-263.
[https://doi.org/10.1016/S1366-5545(02)00009-1]
-
Yan, X. and Su, X., 2009. Linear Regression Analysis: Theory and Computing, Singapore: World Scientific.
[https://doi.org/10.1142/6986]
-
김상효, 2023.6.4. “한국도로공사, 민자 휴게소 줄줄이 폐업… 임대료 높고 수익 급감”, 영남경제신문, https://www.ynenews.kr/news/articleView.html?idxno=39711
Kim, S.H., 2023.6.4. “Private Invested Service Area Continues to Close, According to Korea Expressway Corporation... High Rent and Plumbing Revenue”, Yeongnam Economy Newspaper, https://www.ynenews.kr/news/articleView.html?idxno=39711 -
이상재, 2021.6.18. “임대료 64억에 ‘백기’…국내 최대 휴게소, 스스로 문 닫았다”, 중앙일보, https://www.joongang.co.kr/article/24085326#home
Lee, S.J, 2021.6.18. “‘White Flag’ on Rent of 6.4 Billion...The Largest Service Area in Korea Shut Down Business Itself”, The Joongang, https://www.joongang.co.kr/article/24085326#home









