
메가리전 식별 및 권역 간 성장패턴의 차이에 관한 연구
Abstract
The focus on urban development in major Korean cities has led to various issues, such as the concentration of population and industry in large cities and the consequent decline in smaller ones. Although extensive research exists on intercity interactions to sustain small and medium-sized cities, there is a significant gap in domestic studies concerning megaregions—spatial and functional connections between core cities and other regions. Megaregions provide advantages in regional labor and capital realignment, which helps overcome the limitations of relying solely on metropolitan areas for growth. This study aims to define the concept of megaregions in the Korean context by examining their identification and the effects of growth dispersion across 159 municipalities. To achieve this, the network constraint index is used to identify first-tier and second-tier core cities, and the MFPT and DBSCAN algorithms are applied to pinpoint megaregions. A comparative analysis of growth indicators between megaregions and non-megaregions is conducted. The identification and delineation of megaregions are expected to stimulate discussions among stakeholders and highlight disparities between megaregions and non-megaregions. Furthermore, this study offers implications for the sustainability of small and medium-sized cities.
Keywords:
Megaregion, Core City, Network, Growth Pattern키워드:
메가리전, 중심도시, 네트워크, 성장패턴Ⅰ. 서 론
우리나라는 대도시 중심의 도시발전을 통해 인구와 산업 등이 대도시에 집중되어 주택, 환경 등 다양한 도시문제를 야기하였다(김도형·우명제, 2018). 또한, 인구의 절반이 수도권에 거주하는 등 수도권이 거대해지고 있으나, 대부분의 중소도시는 인구감소를 경험하며 국토균형발전의 발전전략 역시 대도시 중심의 정책적 성격이 강해 중소도시의 도시문제는 소외받는다고 평가할 수 있다(정윤영 외, 2013). 이 같은 중소도시의 지속가능성을 위해 거점을 중심으로 자원 및 기능이 상호 연계되어 지역경쟁력을 확보하는 협력적 네트워크 형성의 필요성이 부각되었다(이성근, 2002; 김선배, 2004).
네트워크 도시이론에 따르면 도시 간 상호작용은 개별 도시들이 서로 다른 기능을 연계함으로써 상호보완하는 형태로, 자원의 효율적 분배 측면에서 그 중요성이 증대된다(변필성 외, 2015). 따라서, 지역 간 네트워크 구축은 개별 도시가 아닌 여러 도시들이 상생 발전할 수 있다는 점에서 필수적이며, 도시 간 다양한 상호작용은 기존 행정경계를 모호하게 하고 기능적, 경제적으로 군집화되는 광역화로 이어진다(최인호, 2017). 정부 또한 광역차원의 도시계획적 접근으로 초광역권 계획을 제시하고 있으며, 권역 내 중추 거점도시를 중심으로 혁신생태계를 조성하고자 노력하고 있다. 다만, 초광역권계획은 어떤 전략이 유효할지에 대하여 도심융합특구 등의 대안이 제시되고 있으나(김현수 외, 2022; 김영수, 2022), 단순히 광역권 내의 혁신생태계뿐만 아니라 중심도시 간 연계 및 그 외 지역의 공간적, 기능적 연계를 의미하는 메가리전(Megaregion)(Ross et al., 2016)의 형성 또한 주의깊게 바라볼 필요성이 있다.
메가리전은 대도시권 간 상호연결된 클러스터로서 지리적 인접성, 교통 등의 물리적 연계와 산업적·경제적, 사회적, 문화적인 연계, 환경 문제 등 명확한 경계에 대한 확정이 없더라도 공통의 유대감을 갖는 지역으로 정의할 수 있다(Ross et al., 2016; Woodall et al., 2023). 메가리전 식별에 대한 다수의 연구는 연결성의 척도로써 교통을 중요하게 고려하는 공통점이 존재하는데(Woodall et al., 2023), 메가리전 차원의 교통 인프라는 기능적 연계를 강화하는 중요한 수단으로 노동시장권의 확장을 통한 도시의 응집력 강화 등 경제적 파급효과를 가져올 수 있다(Ross et al., 2016). 또한, 대도시권 차원에서 중심도시의 쇠퇴는 주변지역을 넘어 대도시권 전체에 악영향을 미칠 수 있지만, 메가리전의 경우 유일한 성장동력을 통해 도시권을 견인하는 대도시권과 달리 다중심적인 공간구조로 인해 서로 성장의 영향력을 주고 받는다는 점에서 대도시권과 차이를 갖는다(Florida et al., 2008). 이와같이 메가리전 내 중심도시와 교외지역은 기능적 연계를 통해 산업 집적과 재화의 효율적 활용 및 지역 경쟁력 강화 등의 이점을 가질 수 있기 때문에(Glocker, 2018) 계획에 있어 메가리전에 대한 시각을 가지는 것이 필요하다(Ross et al., 2016). 그러나, 국내 연구의 경우 대도시권에 대한 논의는 활발히 이루어지고 있으나 메가리전에 대한 논의가 부족하며, 도시 간 연결성 확보와 비수도권 광역시의 쇠퇴를 고려할 때 메가리전에 대한 논의가 더욱 활성화될 필요가 있다.
기존 도시권과 관련된 연구는 중심도시를 기준으로 물리적 거리, 가로망 등을 고려하여 도시권을 설정한 장환영·문태헌(2012), 주승민 외(2014) 등의 연구와 중심도시와의 연계성을 중심으로 도시권을 설정하는 이상걸·우명제(2016), 김도형·우명제(2019) 등의 연구로 구분된다. 김도형·우명제(2019), 이상걸·우명제(2016) 등의 연구는 마코프-연쇄 모형(Markov-chain model)을 통해 보다 객관적인 기준으로 도시·지역 간 연계성을 기능적 거리의 형태로 산출하고 도시권을 설정하였다는 차이점이 있지만, 개별 도시의 기능에 대한 고려가 미비하고 메가리전의 형성 가능성을 배제한 것에 한계가 있다. 수도권과 부산권의 매개기능을 통해 충청권이 네트워크 결절지로서 새로운 중심지가 형성되었듯(조병설 외, 2015) 도시권과 도시권의 경계에 위치한 도시는 결절지의 역할과 동시에 메가리전 형성에 기여하는 도시일 수 있음에 주목할 필요가 있다. 또한, 메가리전은 기존 국가 단위에서 이루어진 노동과 자본의 재정립 과정이 지역 단위인 메가리전 내에서 일어날 수 있기 때문에(Florida et al., 2008), 권역 내 도시의 위계별 성장 패턴에 대한 분석을 통해 강한 네트워크를 갖는 메가리전 내 거점도시와 배후지역 간 시너지 효과의 존재를 확인할 필요가 있다.
따라서, 본 연구는 둘 이상의 광역 대도시권 간 기능적 연계를 고려하여 메가리전의 식별 및 그 경계를 획정하고, 메가리전과 비메가리전 권역 간 성장지표의 비교분석을 통해 성장패턴의 차이를 파악하는 것을 목적으로 한다. 이를 위해 먼저, 중심도시의 위계를 구분하여 광역중심도시와 하위 중심도시 체계를 정의하고, 광역중심도시를 중심으로 도시권을 획정하여 메가리전을 식별한다. 이후 메가리전과 비메가리전 권역 간 성장지표 변화를 비교분석하여 메가리전의 형성이 권역 내 도시의 응집성 강화 등 성장 패턴의 차이에 미친 영향을 분석한다. 본 연구는 국내의 메가리전 존재와 경계를 식별하고 권역 내 경제 성장 패턴의 차이를 확인함으로써 잠재적 이해관계자 간 논의 활성화 및 국토균형발전 차원의 중소도시 대응 방안에 대한 시사점을 제공하고자 한다.
Ⅱ. 선행연구 및 이론 검토
1. 메가리전 정의 및 용어 정리
대도시권(metropolitan area)이 20세기 중반 이후 지속적으로 확장되면서 Gottmann(1957)이 ‘메갈로폴리스’의 개념을 제시하였고, 동시에 국가 단위로 여겨진 경제적 발전과 성장 개념이 지역단위로 옮겨지며 거대도시권에 대한 논의가 시작되었다(Ross, 2008; Hagler, 2009; Chen, 2021). 단, 거대도시권을 묘사하는 용어는 메가시티, 메가시티-리전, 메가리전 등 다양하게 사용되고 학술적·정책적 중요성에도 불구하고 혼용되어 사용되는 문제가 있어(Chen, 2021; 박경현 외, 2020) 용어 정리를 통해 국내에 적용되는 메가리전의 정의가 재정립될 필요가 있다(<표 1> 참조).
메갈로폴리스는 Gottmann(1957)이 제시한 개념으로 대도시권의 경제적 성장에 의해 생성된 새로운 도시 형태를 의미하고 경제적 허브로 부상한 보스턴-워싱턴 지역을 대표적인 사례로 볼 수 있다. 또한, Gottman(1961)은 인접한 대도시권 체인을 메갈로폴리스로 정의하며 다핵 도시체계로서 충분한 연속성과 내부적 상호연결성에 주목해야 한다고 밝혔다(박경현 외, 2020). Gottman의 논지는 메갈로폴리스가 형성되는 재구조화 과정에서 해당 지역들이 국가 및 국제적 차원의 중요한 거점으로 기능할 것이라는 의미를 담고 있다(박경현 외, 2020). 메갈로폴리스는 매우 큰 도시를 의미하는 그리스어에서 유래했다는 점에서(Florida et al., 2008) 하나의 도시가 확장되는 개념으로 이해될 수 있지만, 둘 이상의 도시체계가 연담화되는 것을 의미한다는 것에서 메가리전의 토대가 되었다고 평가된다(박경현 외, 2020; Ross et al., 2008). 단, 수십 년의 논의가 진행되었음에도 그 경계를 명확히 획정하기 어렵다는 한계가 있다(Georg et al., 2018).
메가시티는 일반적으로 대도시 이상의 규모를 갖는, 인구 1,000만 명 이상의 거대도시를 의미하지만, 최근 국내에서 논의되고 있는 메가시티는 권역의 거점도시를 중심으로 생활권 및 경제권을 공유하는 광역권의 의미로 보는 것이 타당하다(박경현 외, 2022). 이같은 측면에서 거대한 중심도시로부터 점차 분산화되어 주변 도시로 그 영향권이 확장되는 형태를 의미하는 Hall and Pain(2006)의 메가시티-리전을 사용하는 것이 적절할 수 있다. Hall and Pain(2006)은 메가시티-리전을 20개 – 50개 도시들이 물리적으로 분산되어 있으나, 기능적으로 연계되어 있는 형태로 정의하며 중심도시 주변으로 집적되어 경제성장과 노동의 기능적 분화에 대한 새로운 특징이 나타난다고 주장한다. 이처럼 메가시티-리전은 일반적으로 그 경계 내에서 ‘집중화된 분산화(concentrated deconcentration)’가 나타난다(Guo and Liu, 2018). 이는 국내의 대도시권 개념과 대응되고, 국내 중소도시권의 경우 시티-리전에 대응된다고 할 수 있다. 메가시티-리전의 대표적인 사례로는 런던 메가시티-리전이 있으며, 높은 글로벌 네트워크 연결성을 갖는 중심도시 런던이 주변 도시들을 포섭 및 확장하고, 주변 주요 도시들은 글로벌 연계를 통해 다양한 고차 생산자 서비스업 집적이 진행되었다(박경현 외, 2020). 또한, 메가시티-리전은 세계도시 문헌에서 주목받지 못한 다른 도시권까지 포함하는데, 네덜란드의 란스타드 메가시티-리전은 강력한 영향력을 가진 중심도시가 없이 주변도시와 기능적 연계는 취약하지만 해당 지역 내 도시들 간 뚜렷한 전문화 및 분업화 양상을 가지는 형태를 보인다(Hall and Pain, 2006). 이처럼 메가시티-리전은 강력한 중심도시 여부에 따라 런던형과 란스타드형으로 구분할 수 있을 것이다. 다만, 중심도시로부터의 분산화에 의해 그 영역이 확장된 거대도시권이라는 점에서 둘 이상의 도시체계가 연담화되는 메갈로폴리스 개념과 차이가 있으며, Taylor and Pain(2007)은 메가리전의 형성과정과 특성 또한 다르다고 언급하고 있으므로 용어 구분에 대한 필요성이 제기된다.
메가리전이라는 용어는 1990년대 동아시아의 거대한 지리적 응집체, 대표적으로 중국의 주강 삼각주 및 장강 삼각주, 일본의 도쿄-오사카 등의 거대한 인구집중 및 광역적 성장패턴을 묘사하기 위해 사용되었다(박경현 외, 2020). 메가리전의 정의는 연구자마다 상이하게 사용되고 있는데, Harrison and Holyer(2015)는 거대한 인구규모(Mega-city)와 외연적 도시확산(Region) 두 가지로 규정되는 ‘Population-inspired mega-city region’이라고 평가하였다. 이같은 정의는 앞서 언급한 메가시티-리전과 혼동될 수 있다. 반면, 형태적인 측면에서 메가리전을 병렬적 거대 도시 구조(parallel macro-structure)(Florida et al., 2008), 고속도로 및 철도에 의한 대도시권 중심도시 간의 확장된 네트워크, 대도시권 간 상호 연계된 지역(Ross and Woo, 2009) 등 둘 이상이 도시체계가 연담화된 메갈로폴리스를 이론적 토대로 메가리전이 발전되어온 것을 고려할 때, 둘 이상의 대도시권 간 연계된 광역도시권을 메가리전의 형태적인 공통점으로 보는 것이 타당하다. 다만, 메가리전은 형태적 특징을 넘어 환경적, 경제적, 문화적, 인프라 등을 공유하고(Ross, 2008) 기존 국가 단위에서 이루어진 경제성장 단계 중 노동과 자본의 재정립 과정이 지역 단위인 메가리전 내에서 일어나는 등의 특징을 갖는다. 이를 종합하면 메가리전은 둘 이상의 대도시권이 중심도시와 배후지역 간 지리적 근접성 및 교통 등의 물리적 연계, 사회·문화적 연계, 경제적 연계, 환경 문제에 대한 공통점 등을 갖는 상호연결된 집합체(Ross et al., 2016)로 명확한 경계에 대한 확정이 없더라도 공통의 유대감을 갖는 지역으로 정의할 수 있다.
2. 메가리전 식별의 중요성
세계화와 도시화가 진행됨에 따라 도시 간 경쟁은 개별 도시 수준을 넘어 진행되고, 이는 도시 네트워크에서의 경쟁과 협력을 통한 지리적·기능적 연계가 더욱 중요해지고 있음을 의미한다(Chen, 2021). 또한, 메가리전은 기존 국가 단위에서 이루어진 자본과 노동의 재정립 과정을 지역 단위에서 이룬다는 점에서 보다 저렴한 비용으로 효율적인 경쟁력 창출이 가능하다(Florida et al., 2008). 메가리전은 기존 대도시권이 가진 한계를 극복한다는 이점을 갖는데, 몇몇 대도시권의 경우 중심도시의 쇠퇴로 인해 도시권 전체가 쇠퇴로 이어질 수 있으나(Ross et al., 2016) 메가리전의 경우 다중심적인 공간구조를 가져 유일한 성장동력을 통해 도시권을 견인하는 대도시권과 달리 상호 연계된 성장동력을 보유하여 성장의 외연성(grow outward)을 지닌다는 점에서 그 차이가 있다(Florida et al., 2008). 더불어 균형 발전 차원에서도 중요한 시사점을 갖는데, 권역 내외 모두의 균형 발전에 있어 주요한 역할을 할 수 있다. 작은 규모의 도시는 응집성에 대한 한계를 갖기 때문에 도시 간 네트워크가 도시의 크기보다 생산성에 더 큰 유의성을 가질 수 있는데, 메가리전 내 중소도시의 경우 중심도시로부터 응집성을 ‘빌려’와 시장 규모 등의 사이즈에 대한 한계를 극복할 수 있고, 중소 도시들 간 인프라 연결성은 협업 및 재화의 풀링을 일으킬 뿐만 아니라 경쟁력 또한 강화될 수 있다(Glocker, 2018). 또한, 권역 외부에서 메가리전의 존재 여부에 따라 도시 간 기능적 연계 수준의 차이를 파악할 수 있어(Chen, 2021) 권역 간 균형에 대한 새로운 시각을 제시할 수 있다. 이처럼 메가리전은 대도시에 집중된 기존 균형발전 정책에 대응하는 중소도시의 성장 방안으로서 기능할 수 있어 메가리전 차원의 시각을 견지하는 것이 필요하다고 볼 수 있다.통한 지리적·기능적 연계가 더욱 중요해지고 있음을 의미한다(Chen, 2021). 또한, 메가리전은 기존 국가 단위에서 이루어진 자본과 노동의 재정립 과정을 지역 단위에서 이룬다는 점에서 보다 저렴한 비용으로 효율적인 경쟁력 창출이 가능하다(Florida et al., 2008). 메가리전은 기존 대도시권이 가진 한계를 극복한다는 이점을 갖는데, 몇몇 대도시권의 경우 중심도시의 쇠퇴로 인해 도시권 전체가 쇠퇴로 이어질 수 있으나(Ross et al., 2016) 메가리전의 경우 다중심적인 공간구조를 가져 유일한 성장동력을 통해 도시권을 견인하는 대도시권과 달리 상호 연계된 성장동력을 보유하여 성장의 외연성(grow outward)을 지닌다는 점에서 그 차이가 있다(Florida et al., 2008). 더불어 균형 발전 차원에서도 중요한 시사점을 갖는데, 권역 내외 모두의 균형 발전에 있어 주요한 역할을 할 수 있다. 작은 규모의 도시는 응집성에 대한 한계를 갖기 때문에 도시 간 네트워크가 도시의 크기보다 생산성에 더 큰 유의성을 가질 수 있는데, 메가리전 내 중소도시의 경우 중심도시로부터 응집성을 ‘빌려’와 시장 규모 등의 사이즈에 대한 한계를 극복할 수 있고, 중소 도시들 간 인프라 연결성은 협업 및 재화의 풀링을 일으킬 뿐만 아니라 경쟁력 또한 강화될 수 있다(Glocker, 2018). 또한, 권역 외부에서 메가리전의 존재 여부에 따라 도시 간 기능적 연계 수준의 차이를 파악할 수 있어(Chen, 2021) 권역 간 균형에 대한 새로운 시각을 제시할 수 있다. 이처럼 메가리전은 대도시에 집중된 기존 균형발전 정책에 대응하는 중소도시의 성장 방안으로서 기능할 수 있어 메가리전 차원의 시각을 견지하는 것이 필요하다고 볼 수 있다.
메가리전 차원의 시각은 사회·문화적, 경제적, 인프라, 환경적 차원의 공통된 유대감을 갖는 메가리전의 연계성을 높이고, 개별 도시를 넘어 발생하는 도시문제에 대한 광역적인 해결책을 제시하는 것에 도움을 줄 수 있다. 예컨대, 메가리전 내 교통 인프라의 확충은 이들 업무지구 간 통근 시간을 줄이고 접근성을 높여 기능적 연계를 강화할 수 있고, 메가리전 차원의 토지이용계획은 어려울 수 있으나 개발 범위에 대한 간접적인 제한을 통해 환경 문제의 대안을 제시할 수 있다(Ross et al., 2016). 또한, 메가리전 차원의 시각은 경제성장을 견인하는 잠재력을 지닌 지역을 찾아 정책적 지원을 제공할 수 있다(Glocker, 2018). 다만, 메가리전의 존재와 경계에 대한 모호성이 존재하기 때문에 모호성을 줄이는 연구가 지속적으로 진행될 필요가 있고, 잠재적인 메가리전을 식별하는 것 또한, 학술적 의의를 넘어 잠재적 이해관계자들에 대한 토론의 장을 제공할 수 있다(Glocker, 2018).
국내의 메가리전 식별 연구는 거의 진행되지 않았기 때문에, 도시권의 획정과 관련된 연구를 살펴보면 크게 지역노동시장권을 통한 도시권 획정 방법과 네트워크 관계에 기초한 도시권 획정 방법으로 구분된다. 두 방법 모두 중심지 혹은 거점도시를 먼저 식별한 후 해당 도시에 기초한 영향권을 설정한다는 점에서 공통점을 갖는다.
먼저 지역노동시장권을 통해 도시권을 획정한 연구인 이세원·이희연(2015)은 지역노동시장권을 주거지와 일자리에 의한 일상적 상호작용으로 정의하였다. 이후 노동자급률과 거주자 지표를 통해 잠재적 중심지를 선정한 후 중심지 내부로의 유입통근에 대한 통근강도에 따라 병합여부를 결정하고, 고용규모와 노동자급률 간 상쇄관계(trade-off)를 고려한 최종 지역노동시장권을 획정하였다. 이러한 지역노동시장권은 행정구역 단위에서 발생되는 중복투자 등의 비효율성을 줄이고 도시 간 협력네트워크를 바탕으로 경쟁력을 키울 수 있는 기회를 제공할 수 있다(이세원·이희연, 2015). 단, 통근통행만을 고려해 산업 간 연계 등의 다양한 기능적 연계성을 고려하지 못한 한계점을 갖는다.
반면, 네트워크를 통해 도시 간 기능적 연계성을 반영한 연구로는 김도형·우명제(2018)와 김도형·우명제(2019), 이상걸·우명제(2016) 등이 존재한다. 세 연구 모두 지역 간 연계성을 기능적 거리로 측정하는 마코프-연쇄 모형과 평균 최초 도달시간(Mean First Passage Time: MFPT)을 사용했다는 공통점이 존재한다. 단, 이상걸·우명제(2016)의 경우 통근통행만을 고려해 앞선 지역노동시장권을 통해 도시권을 획정한 연구와 같은 한계점을 지닌다고 볼 수 있다. 김도형·우명제(2018), 김도형·우명제(2019)의 경우 전국 시·군의 총 목적통행자료를 이용했다는 차이점이 존재하는데, 먼저, 상호의존성 지표를 사용한 중심성 지수를 활용해 중심도시 및 거점도시를 식별하였다. 이후 해당 도시를 기준으로 하는 MFPT 값을 변수로 하는 K-means 군집분석을 통해 각각의 권역을 획정하였고, 김도형·우명제(2019)의 경우 네트워크 수준에 따른 도시권별 고용 및 인구 성장의 관계 또한 관찰하였다. 두 연구는 다양한 기능적 연계성을 파악하기 위해 총 목적통행량과 마코프-연쇄 모형을 활용했다는 특징이 있으나, 도시권을 설정하는 데 있어 복수의 중심도시에 기능적 연계성을 갖는 도시가 존재할 수 있음에도 각각의 도시권을 획정하는 방법을 사용해 메가리전의 존재를 배제하였다는 한계가 있다.
메가리전의 식별 방법은 대표적으로 네트워크를 이용한 기능적 연계성을 이용한 방법과 위성사진 데이터를 이용해 그 경계를 파악한 연구로 구분된다.
먼저 위성사진 데이터를 이용한 메가리전 식별 방법은 대표적으로 RPA(Regional Plan Association)가 제시한 메가리전 식별 방법이 있다. RPA의 메가리전 식별 방법은 정량적 방법과 정성적 방법으로 구분되는데, 먼저 정량적 방법의 경우 각각의 카운티에 대해 다음 5개의 기준을 제시하고 점수화하는 단계이다(Hagler, 2009).
- ① Core Based Statistical Area(CBSA) 해당 여부
- ② 인구 밀도가 2000년 센서스에서 평방 마일당 200명 이상
- ③ 예상 인구 증가율이 15% 이상이고, 2025년까지 1,000명 이상 증가할 것으로 예측
- ④ 2000년에서 2025년 사이에 인구밀도가 평방 마일당 50명 이상 증가할 것으로 예측
- ⑤ 2025년까지 15% 이상의 고용성장과 20,000개 이상의 일 자리 창출될 것으로 예측
해당 기준에 따라 카운티를 점수화한 이후 정성적 방법을 진행하는데 응집성 여부에 따라 메가리전의 존재를 식별하며, 항공사진과 위성사진을 이용해 그 경계를 획정한다(Hagler, 2009).
반면, 네트워크를 이용한 기능적 연계성을 통해 메가리전을 식별한 연구에는 Ross and Woo(2009)와 Chen(2021) 등이 존재하는데, Ross and Woo(2009)는 통근통행 데이터와 화물통행 데이터를 통해 마코프-연쇄 모형을 활용하여 메가리전을 식별했다. 먼저, 통근통행 데이터를 이용해 대도시권을 식별하고, 이후 화물통행 데이터를 통해 도시권 간 기능적 연계성을 확인하여 최종적으로 메가리전을 획정하였다. Chen(2021)은 중국의 메가리전을 식별하기 위해 고속도로 통행 데이터를 활용하였는데, 고속도로 통행 데이터를 이용해 Community Detection의 Infomap 알고리즘과 Core-periphery 알고리즘을 이용해 메가리전 내 핵심 구조를 담당하는 도시권과 배후지역을 구분하고 최종적인 메가리전을 식별하였다. Infomap 알고리즘은 네트워크의 방향성과 노드 및 엣지의 가중치 등을 고려할 수 있어, 네트워크를 통한 커뮤니티를 보다 쉽게 식별해 낼 수 있다는 점에서 Ross and Woo(2009)가 사용한 마코프-연쇄 모형과 구분되는 장점을 갖지만 두 연구 모두 도시 간 기능적 연계성을 중심으로 도시권을 획정했다는 공통점이 존재한다.
국내의 메가리전 식별과 관련된 연구는 존재하지 않지만, 초광역권 정책이 메가리전과 대응되고 있음을 고려할 때 현재의 초광역권 정책과 가장 유사한 5+2 광역경제권 설정에 대해 살펴볼 필요가 있다.
광역경제권 형성을 위한 지역 간 연계구조를 살피고 지역 간 산업연계구조를 분석한 김광익 외(2008)는 각 목적통행 데이터와 요인분석을 활용하였는데, 전국 165개 시군을 대상으로 요인분석을 진행한 결과, 13개 업무권역과 15개 통근 및 통학권역으로 구분되는 city-region 형태의 도시권이 식별되었다. 이는 광역경제권 설정을 위한 기초자료로써 활용되었다는 점에서 메가리전 식별의 한 방법으로 볼 수 있으나, 둘 이상의 대도시권이 다양한 형태의 유대감을 가지며 연담화된 형태라는 메가리전의 정의를 살펴볼 때, 해외 메가리전 식별 연구들과는 다소 차이를 가진다고 볼 수 있다.
Ⅲ. 연구의 방법
1. 연구의 흐름
본 연구는 도서지역(제주, 울릉군)을 제외한 전국 시군 159개를 공간적 범위로 하며 시간적 범위는 2019년으로 한다. 본 연구에서는 전국을 대상으로 메가리전의 존재를 식별하고 권역 내 산업적 특성을 비교분석하여 그 차이를 파악하고자 한다. 이를 위해 국가교통 DB에서 제공하는 전국 시·군의 총 목적통행 자료를 기반으로 다음과 같이 분석한다.
첫째, 도시권 설정을 위한 위계별 중심도시를 식별한다. 중심도시의 식별은 전국 시군의 총목적통행량을 기반으로 상호의존성과 상호 의존을 기준으로 주변지역이 의존하는 수준을 나타내는 중심성 지수를 산출하고 중심성 지수가 네트워크 측면에서 주요 결절지 역할을 하는 값인 “1”(김도형·우명제, 2018)을 넘는 도시를 중심도시로 선정한다.
둘째, 식별된 중심도시를 대상으로 네트워크 제약지수를 이용하여 각 도시 간 제약 수준에 따라 광역중심도시, 결절 도시, 지역중심도시로 구분한다. 네트워크 제약은 사회연결망 분석에서 구조적 공백을 파악하기 위해 활용되었는데 이를 도시 간 네트워크에 적용하면, 특정 도시를 중심으로 한 연결망이 다른 도시를 중심으로 한 연결망으로의 포섭 가능성을 지수화한 것으로 포섭 여부에 따라 두 도시 간 계층관계를 파악할 수 있다(변필성 외, 2020). 이를 식별된 중심도시만을 대상으로 산출할 경우 중심도시 간 포섭 여부를 파악해 계층 관계를 파악할 수 있다. 이를 위해 중심도시들에 대한 네트워크 제약지수 합이 중윗값 이상이며 「지방자치법」의 대도시 기준인 인구 50만 이상인 도시를 대상으로, 해당 도시를 도착지로 하는 네트워크 제약지수가 해당 도시 스스로에 대한 네트워크 제약지수 이상인 도시가 존재할 때, 이를 광역중심도시와 결절도시의 체계를 갖는다고 정의한다. 또한, 네트워크 제약지수가 중윗값 미만인 중심도시 중 하위 중심도시로 식별되지 않은 도시에 대하여 지역 중심도시로 정의한다.
셋째, 전국 시군의 총목적통행량을 기반으로 마코프-연쇄모형을 이용해 식별된 광역중심도시를 도착지로 하는 MFPT(Mean First Passage Time)을 도출하고, DBSCAN 알고리즘을 이용하여 159개 시군을 대상으로 광역중심도시에 대한 MFPT를 변수로 사용한 군집분석을 진행한다. 다만, 광역중심도시로 선정된 도시가 강원특별자치도에 존재하지 않아 도시권 분석 결과가 왜곡될 수 있기 때문에 지역 중심도시로 선정된 춘천시, 원주시, 속초시, 강릉시, 삼척시, 정선시를 도착지로 하는 MFPT 값을 기준으로 각각 DBSCAN 군집분석을 진행하고 독립적인 권역이 형성되는 강릉시의 MFPT 값을 메가리전 식별을 위한 군집분석의 변수로 추가하여 최종적인 메가리전 및 그 외 도시권의 경계를 획정한다.
넷째, 메가리전이 식별된 권역과 비메가리전 권역 간 경제성장의 차이를 파악하기 위해 2017년과 2021년의 종사자 수, GRDP, 인구 및 청년인구의 증감률을 비교분석 한다. 이를 통해 메가리전과 비메가리전 내 도시 위계별 성장패턴의 차이를 파악하고 메가리전을 통한 도시권 내 중소도시에 대한 균형발전 차원의 시사점을 도출한다.
2. 분석의 틀
도시권의 중심도시를 식별하기 위해서 상호의존과 중심성 지수를 활용한다. 상호의존은 도시 상호작용 흐름에 의한 관계로 일방적이 아닌 상호 양방향 관계로 해석된다(김도형·우명제, 2019). 상호의존은 상대적 크기로, 그 값이 클수록 해당 도시와의 연계성이 높다고 볼 수 있으며(김도형·우명제, 2018) 다음과 같이 산출한다.
| (1) |
중심성 지수는 상호의존 값을 활용해 다음과 같이 산출한다.
| (2) |
| (3) |
i도시와 상호작용하는 모든 j도시의 상호의존 값의 합은 i도시의 중심성과 같다(윤종진·우명제, 2017). 즉, 중심성 지수는 도착지에 대하여 다른 도시들의 상호의존값을 모두 더한 것으로 중심성 지수가 1보다 클 경우 네트워크 중심지의 지위를 가진다고 볼 수 있다(윤철현·황영우, 2012).
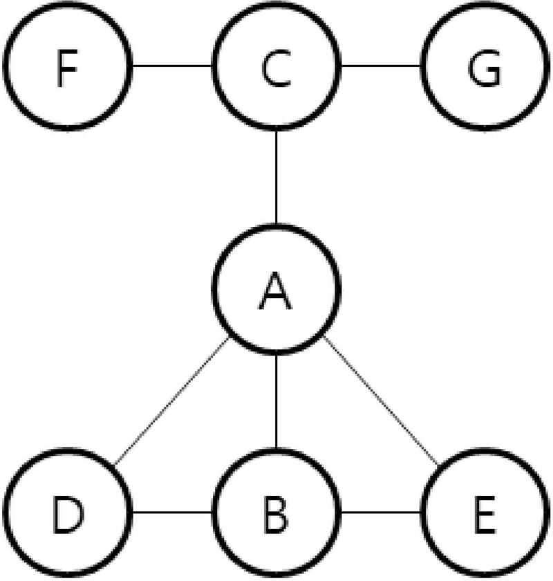
네트워크 제약지수는 도시의 영향권을 파악하는 데 사용되는데, 중심지-주변 배후지의 계층 관계가 두 도시 간의 관계만으로 한정할 수 없기 때문에 각 도시가 맺는 나머지 도시와의 관계를 고려한 포섭 가능성을 지수화한 것이다(변필성 외, 2020). <그림 1>은 이를 도식화한 것이며 그 식은 다음과 같다.
네트워크 제약지수를 통해 <그림 1>의 도시 A와 B, A와 C의 관계를 설명하면, 도시 A와 연결된 도시 B의 경우 도시 B와 연결된 D, E 또한 A와 연결되어 있기 때문에 CBA값은 CCA에 비해 높게 나타나게 된다. 이와 같이 네트워크 제약지수는 배후지 선정에 앞서 두 도시 간 관계만이 아닌 나머지 도시의 포섭가능성을 고려한다는 점에서 중심도시 간 네트워크 제약지수 산출을 통해 중심도시의 위계를 파악하는 데 활용될 수 있다.
이를 활용해서 먼저, 전국 159개 시군 중 중심성 지수가 1 이상으로 나타난 43개 도시를 대상으로 네트워크 제약지수를 파악한다. 이후 각 도시를 도착지로 하는 네트워크 제약지수의 합에 대해 중윗값 이상을 갖는 도시 중 스스로에 대한 네트워크 제약지수 이상인 하위 중심도시를 가지며 인구 50만 이상인 도시를 광역중심도시로 식별한다. 하위 중심도시 체계의 경우, 광역중심도시를 도착지로 할 때, 광역중심도시 스스로에 대한 네트워크 제약지수 이상의 네트워크 제약을 받는 도시에 대하여 광역중심도시의 하위체계인 지역중심도시로 정의한다. 또한, 그 외의 중심도시는 하위체계를 갖지 않는 중심도시인 지역 중심도시로 정의하여 43개의 중심도시를 총 3개의 중심도시 체계로 구분한다. 다만, 광역중심도시로 식별되지 못한 광주광역시의 경우 전라권 내 유일한 광역시로서 대도시권의 중심도시 역할을 한다는 선행연구가 다수 존재하기 때문에(이상걸·우명제, 2016; 김도형·우명제, 2018; 김도형·우명제, 2019) 광역중심도시로 식별한다.
메가리전의 식별 및 경계획정은 도출된 광역중심도시를 기준으로 지역 간 기능 연계성을 기능적으로 측정하는 마코프-연쇄 모형(Markov-Chain Model)과 MFPT(Mean First Passage Time)을 사용한다(이상걸·우명제, 2016). 마코프-연쇄 모형은 시간의 경과에 따른 상태의 확률적 변화 과정을 이용해 미래 변화를 예측하는 추계적 과정을 나타내는 모형으로, 마코프-연쇄 모형을 활용할 경우 미래의 상태를 현재의 상태만 주어지면 과거의 상태와 무관하게 확률적으로 추산할 수 있다(이상걸·우명제, 2016). 마코프-연쇄 모형은 전이행렬, 제한행렬, MFPT 행렬로 구성되며, 전이행렬은 각 출발지별 통행량의 합을 도착지 각각에 대해 나누어 산출하는데(김도형·우명제, 2019), 전이행렬을 연속적으로 거듭제곱할 경우 출발지에서 도착지로의 전이확률이 출발지에 관계없이 같은 분포를 가지도록 수렴하고 이를 제한행렬이라 한다(김도형·우명제, 2018).
MFPT는 출발지에서 도착지에 최초로 도달할 때 걸리는 시간에 대한 평균으로, 마코프-연쇄 모형을 통해 도출한 제한행렬, 전이횟수와 그 확률의 곱으로 산출되고 그 식은 다음과 같다(이상걸·우명제, 2016).
| (4) |
위 식을 통해 MFPT를 산출한 이후 도착지를 광역중심도시로 하는 MFPT를 변수로 사용하여 DBSCAN 알고리즘을 활용한 군집분석을 진행한다. OD 매트릭스를 활용한 군집화 알고리즘으로 K-means 알고리즘과 DBSCAN 알고리즘이 존재한다(이민혁 외, 2017). 다만, DBSCAN 알고리즘은 밀도 기반의 군집화 방식으로, 임의의 데이터를 중심으로 주변 탐색을 위한 반경(eps)과 군집으로 인정되는 반경 내 최소 데이터의 개수(minPts)를 이용하는데, 군집 형성의 목적을 고려할 때 DBSCAN이 K-means에 비해 군집 성능이 뛰어나다(이민혁 외, 2017). DBSCAN 알고리즘은 다음과 같은 절차로 군집을 구분하고 <그림 2>는 이를 도식화한 그림이다.
먼저, 임의의 데이터에서 나머지 데이터 간 거리를 계산 후 주어진 최대 반경(eps) 내의 데이터 개수를 계산한다. 이후 반경 내 데이터의 개수가 군집 형성을 위한 최소 개수(minPts)보다 크면 해당 데이터를 중심점(core point)로 지정하고 반경 내 중심점 외의 데이터를 대상으로 같은 과정을 반복하여 군집을 확장한다. 군집의 확장 이후 어떤 군집에도 포함되지 않은 지점을 잡음(noise)로 처리한다(김태경·정진혁, 2014). DBSCAN 알고리즘을 이용한 군집분석은 K-means 군집분석과 구별되는 특징이 존재하는데, 군집 개수를 초기에 지정할 필요가 없고, 잡음(noise)의 개념이 존재해 이상치에 민감하지 않은 장점 등이 존재한다(김태경·정진혁, 2014). 이 같은 DBSCAN의 특징을 고려할 때, 광역중심도시에 대한 영향권 및 기능적 연계를 고려하기 위한 메가리전의 식별에 적합한 분석 방법으로 볼 수 있다.
구체적인 메가리전의 식별 및 경계를 획정과정은 다음과 같다. 먼저, 광역중심도시를 도착지로 하는 MFPT 값을 산출한다. 이후 광역중심도시인 서울, 부산, 대구, 대전, 전주, 천안 그리고 광주의 산출된 MFPT값을 변수로 하는 DBSCAN 군집분석을 진행하여 최종적인 메가리전 및 그 외 도시권을 식별하고 그 경계를 획정한다.
Ⅳ. 분석결과
1. 위계별 중심도시 식별
중심성 지수가 “1” 이상으로 나타난 중심도시는 총 43개로 나타났으며, <표 2>는 43개 도시를 대상으로 네트워크 제약 지수를 통해 각 도시를 도착지로 하는 네트워크 제약지수의 합을 산출한 후 해당 값이 중윗값 이상으로 나타난 22개의 도시에 대한 네트워크 제약지수의 합과 중심성 지수, 그리고 인구수를 나타낸 결과이다. 이후 각 도시를 도착지로 하는 네트워크 제약지수 중 도착지 스스로에 대한 네트워크 제약 지숫값 이상의 제약을 받는 도시들을 해당 도착지의 하위 중심지 체계로 구분하였다. 또한, 하위 중심지 체계를 갖는 중심도시를 광역 중심도시와 지역 중심도시를 구분하기 위해 인구 50만 이상이며 중윗값 7.4% 이상의 네트워크 제약지수 합을 갖는 도시를 광역중심도시로 식별하였다. 최종적인 위계별 중심도시 식별 결과는 <표 3>과 같다. 단, 광주광역시의 경우, 중심성 지수 7로 매우 높은 중심성을 보이고,전라권 내 유일한 광역시로서 대도시권의 중심도시 역할을 한다는 기존 대도시권과 관련된 연구(김도형·우명제, 2018; 김도형·우명제, 2019)를 참고하여 광역중심도시로 선정하였다.

Status of cities above the median centrality index (Sum of the network constraint index, the centrality index, and the population)
2. 메가리전 설정
도시 간 연계성을 통한 메가리전의 식별을 위해 식별된 광역 중심도시를 기준으로 하는 MFPT 값과 DBSCAN 알고리즘을 이용한 군집분석을 활용하였다. 광역 중심도시인 서울, 부산, 대전, 대구, 천안, 전주, 광주를 도착지로 하는 MFPT 값을 변수로 DBSCAN 알고리즘을 이용한 군집분석을 통해 도시 간 기능적 연계성을 반영한 도시권을 식별하였는데, 그 결과는 <표 4>와 같고 <그림 3>은 이를 시각화한 것이다. 도시권 획정 결과, 메가리전은 서울-대전 메가리전과 부산-대구 메가리전으로 나타났으며, 광역대도시권으로서 메가시티-리전으로 정의되는 광주권과 전주권, 시티-리전으로 정의되는 순천권이 식별되었다. 서울-대전 메가리전은 그 범위가 수도권과 충청도 및 강원도를 모두 포섭한 것으로 나타나 기존 국내 도시권 식별에 관한 연구들과 큰 차이를 보였다. 다만, 메가리전의 형성 자체가 긍정적 영향을 내포한다고 주장할 수 없으므로 도시권 유형별 성장패턴의 차이에 대한 추가적인 분석을 진행하였다.
권역 간 성장지표의 비교분석에 앞서, 권역 내 의존성 수준을 파악해 다중심적 공간체계 구성 여부를 알아볼 필요가 있다. 지역중심도시는 다중심적 공간체계의 주요 구성 요소로서 권역 내 지역중심도시 간 의존성이 높다면, 광역중심도시뿐만 아니라 모든 위계별 중심도시 간 높은 연계성을 가짐을 의미한다. 이는 메가리전 내 중심도시 간 기능적 연계를 통해 서로 성장의 영향을 주고 받고(Florida et al., 2008), 중소도시는 네트워크를 통해 응집성을 빌려 시장 규모 등 규모의 한계를 극복한다는 점을 고려할 때(Glocker, 2018), 메가리전의 이점을 발휘하기 위한 필요조건일 가능성이 있다.
권역 내 지역중심지 간 의존성 분석을 진행한 결과는 <표 5>와 같다. 서울-대전 메가리전과 부산-대구 메가리전은 권역 내 지역중심지 간 의존성에서 큰 차이를 보이는데, 부산-대구 메가리전의 경우 전주 메가시티-리전보다 낮은 의존성 수치를 보이는 것으로 나타났다. 낮은 의존성은 권역 내 지역중심지의 모호한 기능을 의미하는 결과일 수 있어 광역중심지를 포함한 권역 내 모든 중심도시의 의존성 수준을 분석하였다. <표 6>을 통해, 부산-대구 메가리전의 권역 내 모든 중심도시의 의존성은 <표 5>와 비교해 2배 이상 높아진 것을 알 수 있다. 이는 부산-대구 메가리전 내 지역중심지의 기능이 모호하고 광역중심도시인 부산광역시와 대구광역시가 과도한 집중성을 가짐을 의미하기 때문에, 다중심적 공간체계가 약하고 메가리전의 이점이 발휘되기 어려운 상황인 것으로 해석할 수 있다.
3. 도시권 내 성장 패턴 비교 분석
도시권 획정 결과 국내 도시권은 메가리전과 비메가리전으로 구분됨을 알 수 있는데, 앞선 선행연구에서 언급된 메가리전의 이점인 기능적 연계성을 통해 권역 내 도시가 상호 간 성장의 영향력을 주고 받는 효과가 국내의 메가리전에도 적용되는지에 대한 추가적 분석의 필요성이 있다. 따라서, 본 연구는 인구, 고용, 규모 성장 등을 식별된 도시권 간 비교·분석하였으며 그 결과는 <표 7>과 같다.
서울-대전 메가리전과 부산-대구 메가리전은 모두 메가리전으로 식별되었음에도 눈에 띄는 차이를 갖는 것으로 나타났다. 특히, 인구와 청년인구에 있어 서울-대전 메가리전은 광역중심도시보다 하위 도시체계에서 더 큰 성장률을 보이는 것으로 나타나 메가리전 내 연결성 강화를 통해 도시 규모 등 규모의 한계를 극복하는 메가리전의 긍정적 효과(Glocker, 2018)가 발휘되는 것으로 볼 수 있다. 또한, 인구가 감소한 광역중심지를 포함해 모든 도시체계에서 타 도시권에 비해 가장 높은 고용 및 GRDP 성장률을 보이고 있다는 점에서 어느 정도 지역경쟁력이 형성되어 있다고 해석된다. 수도권을 제외할 경우 경제 지표는 지역중심지에서 모든 도시권 중 가장 높은 성장률을 보이고 있으며, 상대적으로 규모가 영세한 배후지역의 경우 낮은 고용 및 GRDP 성장률을 보이지만, 서울-대전 메가리전은 다른 도시권과 비교해 인구 증가, 낮은 청년인구 감소율을 가진다.
반면, 부산-대구 메가리전의 경우 권역 내 모든 도시체계의 경제 지표가 가장 낮은 수준을 보이고 있다. 특히, 지역중심지의 경우 유일하게 GRDP 성장률이 음수를 가지며 배후지역의 인구 및 청년인구는 가장 큰 유출을 보인다. 이는 도시 간 네트워크가 성장에 큰 유의성을 가진다는 것을 고려할 때(Glocker, 2018), 앞선 분석에서 나타난 부산-대구 메가리전 내 지역중심지 간 낮은 연결성 수준은 다중심적 공간체계가 미비함과 동시에 성장 둔화에도 큰 영향을 보인다고 볼 수 있다. 또한, 메가리전은 복수의 광역중심지를 성장동력으로 도시권의 경쟁력을 견인하는 것을 고려할 때(Florida et al., 2008), 부산광역시와 대구광역시가 지속적 인구 유출 및 쇠퇴를 겪고 있다는 점은 메가리전 내 성장동력의 역할을 한다고 보기 어렵다. 즉, 부산-대구 메가리전은 도시권 내 높은 네트워크 수준을 바탕으로 메가리전이 형성되었음에도 그 이점을 발휘하기 위한 성장동력이 매우 미약한 것으로 해석된다.
마지막으로 비 메가리전의 경우 고용과 GRDP 성장률에 있어 모든 도시체계에서 양의 값을 가진다. 다만, 인구와 청년인구 유출이 하위 도시체계인 지역중심지 및 배후지역에서 나타나고 있으며, 청년인구는 광역중심지에서 유일한 양의 값을 갖는다. 이는 복수의 광역중심지 간 네트워크를 통해 성장의 외연성을 갖는 메가리전과 달리 단일 광역중심지의 존재로 인해 청년인구가 광역중심지 및 타 권역으로 쏠림이 심화되는 빨대효과가 나타난다고 볼 수 있다.
Ⅴ. 결 론
우리나라는 대도시 중심의 도시발전을 통해 인구와 산업 등이 대도시에 집중되어 대부분의 중소도시가 인구 감소를 겪는 등 많은 도시문제를 야기하였다. 이에 따라 균형발전 차원의 대응 전략 필요성이 제시되었으며, 중소도시의 지속가능성을 위해 도시 간 상호 연계를 통한 지역경쟁력을 창출하는 네트워크 도시 등장 이후 대도시권, 초광역권 등 다양한 개념이 등장하였다. 다만, 단순히 광역권 내의 혁신생태계뿐만 아니라 중심도시 간 연계 및 그 외 지역의 공간적, 기능적 연계를 의미하는 메가리전에 대한 국내 연구는 미비하다. 메가리전은 기존 국가 단위에서 이루어진 노동 및 자본의 재정립 과정을 지역단위에서 이루고, 유일한 성장동력을 갖는 대도시권의 한계를 극복한다는 장점을 가져 도시권 경쟁력 강화를 위한 대안으로 제시된다. 또한, 도시권 내 중소도시는 응집성을 빌려와 규모의 한계를 극복한다는 점에서 중소도시의 지속가능성과 도시권의 경쟁력 등 우리나라의 균형발전에 대한 유용한 시사점을 제시할 수 있다.
이에 따라 본 연구는 국내에 적용되는 메가리전의 개념을 정의하고, 전국 159개 시군을 대상으로 네트워크를 기반으로 기능적 연결성을 갖는 국내 메가리전의 존재를 확인한 후, 성장패턴의 차이를 분석함으로써 각 도시체계 간 네트워크를 통한 성장의 외연성을 관찰하고자 하였다. 이를 위해 중심도시의 위계를 네트워크 제약지수를 활용해 광역중심도시, 하위중심도시, 지역중심도시를 식별하였으며, MFPT와 DBSCAN 알고리즘을 통해 메가리전을 식별, 이후 메가리전과 비메가리전의 성장지표 비교분석을 통해 성장패턴의 차이를 파악하였다. 이를 통해 복수의 광역중심지를 갖는 두 메가리전인 서울-대전 메가리전과 부산-대구 메가리전을 식별하고 두 메가리전 간 성장패턴의 차이를 규명하였으며 그 결과를 종합하면 다음과 같다.
메가리전 식별 결과 서울-대전 메가리전과 부산-대구 메가리전이 식별되어 기존 도시권에 관련된 연구결과와 달리 국내의 메가리전이 존재하는 것으로 나타났다. 또한, 메가시티-리전인 광주권과 전주권, 그리고 시티-리전인 순천권이 식별되었다.
식별된 도시권의 성장패턴 차이를 파악하기 위해 성장지표의 비교분석을 진행하였으며, 대부분의 도시권 내 도시체계는 고용 및 GRDP 성장을 경험한 것으로 나타났다. 다만, 인구와 청년인구 성장에 있어 큰 차이를 나타냈는데, 서울-대전 메가리전의 경우 권역 내 하위 도시체계에서 큰 증가율을 보이고 있으며, 수도권을 제외하더라도 권역 내 지역중심지는 모든 도시권 중 가장 큰 폭의 증가율이 나타났다. 그러나, 부산-대구 메가리전의 경우 지역중심지의 GRDP 성장률이 유일하게 음의 값을 보이는데 이는 낮은 지역중심지 간 연결성에 의한 결과로 판단된다. 또한, 모든 도시체계에서 높은 인구 및 청년인구 유출을 보이는 것으로 나타났다.
특히, 본 연구에서 집중해 바라본 대도시권과 달리 복수의 광역중심도시가 성장동력으로서 도시권을 견인하고, 도시권 내 중소도시는 네트워크를 통해 응집성을 빌려 규모의 한계를 극복한다는 메가리전의 이점은 서울-대전 메가리전의 성장패턴에서 관찰할 수 있었으나, 부산-대구 메가리전의 경우 이러한 이점이 나타나지 않는 것으로 분석되었다. 서울-대전 메가리전은 강한 영향력을 갖는 수도권을 제외한 경우에도 지역중심지의 성장 지표에서 가장 높은 수준을 보이며 메가리전 내 하위 도시체계의 균형발전 차원의 시사점을 얻을 수 있었으나, 부산-대구 메가리전의 경우 성장동력인 부산광역시와 대구광역시가 지속적으로 쇠퇴를 경험하고 있어 하위 도시체계의 성장을 견인하지 못한 것으로 해석된다. 또한, 부산-대구 메가리전은 비 메가리전과의 비교분석에서도 낮은 성장 지표, 그 중에서도 인구 유출이 큰 폭으로 나타나고 있어 권역 내 지역경쟁력 향상을 위한 다양한 방안들이 모색될 필요성이 있다.
끝으로 비 메가리전의 경우 양호한 고용 및 GRDP 성장률을 보이지만, 하위 도시체계의 인구 및 청년인구 유출이 관찰되었다. 이는 복수의 광역중심지를 갖는 메가리전과 달리 단일 광역중심지라는 공간구조 차이로 인해 빨대효과 현상이 나타난 것으로 해석된다.
광역차원의 도시계획적 접근은 도시권의 경쟁력 창출을 넘어 도시권 내 중소도시의 규모 한계를 극복하고 네트워크를 통해 성장의 영향력을 주고받을 수 있다는 점에서 그 중요성이 부각된다. 다만, 본 연구를 통해 메가리전의 존재와 각 도시권의 성장패턴 차이를 규명한 결과, 메가리전과 비 메가리전 간 형태적 차이에도 불구하고 낮은 다중심적 공간체계 수준을 갖는 부산-대구 메가리전과 비-메가리전에서 지속적 인구유출이 나타나고 있어, 혁신 생태계 조성을 통한 청년인구 유출 방지와 동시에 도시권 내 연결성 강화를 고려할 필요성이 제기된다. 또한, 향후 수도권과 비수도권의 격차를 넘어 서울-대전 메가리전과 그 외 지역 간 격차가 고착화될 가능성이 있으므로, 이에 대응할 수 있는 부산-대구 지역의 거점화가 필요한 시점이다. 특히, 현재 논의되고 있는 초광역권 협력에 있어 개별 지자체의 지역개발사업 외에 광역중심도시와 지역중심도시의 역할 정립과 중심도시 간, 중심도시와 주변 시군 간의 기능적 연계 전략 논의가 부산-대구권 메가리전 차원에서 선행될 필요가 있다. 또한, 광역 및 지역중심지의 역할정립 및 연계 전략 논의와 더불어 권역 내 중소도시의 경쟁력 강화를 위해 물리적 교통 네트워크 확충을 통한 중심지와의 연결성 강화 및 인센티브 제공, 세제 혜택 등을 통한 연계 산업 유치 등 중심지와의 산업적·기능적 연계 강화를 위한 노력이 요구된다. 이를 통해 광역중심도시, 지역중심도시, 권역 내 중소도시들 간 스마트전문화로 네트워크 도시로서의 장점을 극대화할 수 있다.
Acknowledgments
이 논문은 정부(과학기술정보통신부)의 재원으로 한국연구재단의 지원을 받아 수행된 연구임. (NRF-2022R1A2C1093303)
이 논문은 전재병의 2024년도 석사 학위논문의 데이터를 활용하여 재구성하였음.
References
-
김광익·이동우·박경현·이원섭·김창현·박양호, 2008. 「국토 경쟁력강화를 위한 광역경제권 설정 및 발전구상」, 세종: 국토연구원.
Kim, G.I., Lee, D.W., Park, K.H., Lee, W.S., Kim, C.H., and Park, Y.H., 2008. Establishment of Metropolitan Economic Zones and Development Plans to Strengthen national Competitiveness, Sejong: KRIHS. -
김도형·우명제, 2018. “지역 거점도시 식별 및 상호작용에 따른 영향권역 설정에 관한 연구”, 「국토계획」, 53(7): 5-22.
Kim, D.H. and Woo, M.J., 2018. “A Study on the Identification of Hub Cities and Delineation of Their Catchment Areas Based on Regional Interactions”, Journal of Korea Planning Association, 53(7): 5-22. [ https://doi.org/10.17208/jkpa.2018.12.53.7.5 ]
-
김도형·우명제, 2019. “기능적 상호작용에 따른 도시권 설정과 성장관계에 대한 연구”, 「국토계획」, 54(7): 5-23.
Kim, D.H. and Woo, M.J., 2019. “Study on the Delineation of City-Regions Based on Functional Interdependence and Its Relationships with Urban Growth”, Journal of Korea Planning Association, 54(7): 5-23. [ https://doi.org/10.17208/jkpa.2019.12.54.7.5 ]
-
김선배, 2004. “혁신주도형 경제를 향한 한국형 혁신체제 구축방향”, 「과학기술정책」, 14(5): 2-13.
Kim, S.B., 2004. “Direction of Establishing a Korean Innovation System Toward an Innovation-driven Economy”, STEPI, 14(5): 2-13 -
김영수, 2022. “초광역권에 기반한 지역의 산업혁신 전략”, 「월간 KIET 산업경제」, 2: 51-64.
Kim, Y.S., 2022. “Regional Industrial Innovation Strategy Based on Megaregions”, KIET Monthly Industrial Economics, 2: 51-64. -
김태경·정진혁, 2014. “DBSCAN을 이용한 교통사고 잦은 곳 선정에 관한 연구: 경부고속도로를 중심으로”, 「교통연구」, 21(3): 55-63.
Kim. T.K. and Chung, J.Y., 2014. “A Study on the Identification of Accident Hot Spots Using DBSCAN - Focused on Gyeong-Bu Expressway”, Journal of Transport Research, 21(3): 55-63. [ https://doi.org/10.34143/jtr.2014.21.3.55 ]
-
김현수·우명제·마강래·이제승·유천용·송창수·서승우, 2022. “[특집] 국가균형발전을 위한 초광역권과 도심융합특구 전략”, 「도시정보」, 479: 5-15.
Kim, H.Y., Woo, M.J., Ma, K.R., Lee, J.S., Yoo, C.Y., Song, C.S., and Seo, S.W., 2022. “Megaregions and Urban Convergence Special Zone Strategy for Balanced National Development”, Urban Information Service, 479: 5-15. -
박경현·이윤석·허동숙·최예슬·정준호·강민규, 2020. 「국토균형발전을 위한 초광역권 연계 발전 방향」, 세종: 국토연구원.
Park, K.Y., Lee, Y.S., Heo, D.S., Choi, Y.S., Jeong, J.H., and Kang, M.G., 2020. Balanced National Development in the Direction of Megaregions linked Development, Sejong: KRIHS. -
박경현·윤영모·고사론·양예림·조현지, 2022. 「국토균형발전을 위한 지역주도 초광역권 육성전략」, 세종: 국토연구원.
Park, K.Y., Yun, Y.M., Ko, S.R., Yang, Y.R., and Cho, H.J., 2022. Region-based Megaregion Strategy for Balanced National Development, Sejong: KRIHS. -
변필성·김동근·차은혜·이효란, 2015. 「지방중소도시 활성화를 위한 유형별 발전방향 연구」, 세종: 국토연구원.
Byeon, P.S., Kim, D.G., Cha, E.H., and Lee, H.R., 2015. Research on Development Directions by Type to Revitalize Local Small and Medium-sized Cities, Sejong: KRIHS. -
변필성·권규상·이효란·김다윗·김동한·김승범, 2020. 「도시의 영향권과 기능 연계권 분석을 통한 도시권 획정 연구」, 세종: 국토연구원.
Byeon, P.S., Kwon, G.S., Lee, H.R., Kim, D.W., Kim, D.H., and Kim, S.B., 2020. A Study on the Delimitatioin of Metropolitan Regions in Korea, Sejong: KRIHS. -
윤종진·우명제, 2017. “광역경제권의 기능적 상호의존과 고용성장: 지역정책에 대한 함의”, 「국토계획」, 52(2): 117-136.
Yun, J.J. and Woo, M.J., 2017. “Functional Interdependence and Employment Growth of Mega-Economic Regions: Implications for regional planning”, Journal of Korea Planning Association, 52(2): 117-136. [ https://doi.org/10.17208/jkpa.2017.04.52.2.117 ]
-
윤철현·황영우, 2012. “도시간 상호관계분석에 의한 한국 도시체계의 이해”, 「도시행정학보」, 25(2): 31-48.
Yun, C.H. and Hwang, Y.Y., 2012. “Korean Urban System by an Analysis of Interurban Relationship”, Korean Urban Management Association, 25(2): 31-48. -
이민혁·전인우·전철민, 2017. “개선된 DBSCAN 알고리즘을 이용한 대중교통 정류장 군집화 기법”, 「지형공간정보」, 25(4): 97-106.
Lee, M.H., Cheon, I.W., and Cheon, C.M., 2017. “Clustering Public Transit Stops using an Improved DBSCAN Algorithm”, Journal of the Korean Society for Geospatial Information Science, 25(4): 97-106. -
이상걸·우명제, 2016. “마코프-연쇄 모형을 이용한 광역도시권 설정 및 권역 변화 분석에 관한 연구: 5개 대도시권을 대상으로”, 「국토계획」, 51(7): 5-20.
Lee, S.G. and Woo, M.J., 2016. “Delineation of Metropolitan Regions Using Markov-chain Model and Analysis of Their Changes: Focused on Five Metropolitan Areas”, Journal of Korea Planning Association, 51(7): 5-20. [ https://doi.org/10.17208/jkpa.2016.12.51.7.5 ]
-
이성근, 2002. “지역기술거점의 형성과 지역혁신네트워크 구축에 관한 연구: 대구·경북지역을 사례로”, 「한국지역개발학회」, 14(1): 41-68.
Lee, S.G., 2002. “A Study on Establishing Regional Techno-poles and Networking Regional Innovation Projects-A Case Study of the Daegu·Kyongbuk Region-”, Journal of The Korean Regional Development Association, 14(1): 41-68. -
이세원·이희연, 2015. “지역노동시장권 설정방법에 기초한 도시권 획정과 공간구조 분석”, 「국토연구」, 84: 165-189.
Lee, S.Y. and Lee, H.Y., 2015. “Delimitation of City-Regions Based on the Method of Travel-to Working Area and Analyzing Spatial Structure of City-Regions”, The Korea Spatial Planning Review, 84: 165-189. [ https://doi.org/10.15793/kspr.2015.84..010 ]
-
장환영, 문태헌, 2012. “연계성에 따른 지방 광역도시권의 설정과 발전 방향”, 「국토계획」, 47(1): 5-18.
Chang, H.Y. and Moon, T.H., 2012. “Establishing City-Region based on Connectivity and Their Development Directions”, Journal of Korea Planning Association, 47(1): 5-18. -
정윤영·문태헌·허선영, 2013. “우리나라 중소도시 특성과 네트워크도시 형성”, 「국토계획」, 48(2): 35-50.
Cheong, Y.Y., Moon, T.H., and Heo, S.Y., 2013. “Characteristics of Small and Medium Sized City and Network City Development in Korea”, Journal of Korea Planning Association, 48(2): 35-50. -
조병설·홍성호·이만형, 2015. “도시 네트워크 관점에 근거한 국토 공간구조의 재해석 : 대기업 연결망을 중심으로”, 「한국지역개발학회지」, 27(1): 1-22.
Cho, B.S., Hong, S.H., and Lee, M.H., 2015. “Reinterpretation of Korean Spatial Structure Based on Urban Network Approaches : Focused on Conglomerate Business Networking”, Journal of the Korean Regional Development Association, 27(1): 1-22 -
주승민·최진호·김봉준, 2014. “GIS 네트워크 분석을 활용한 대구광역시 광역도시권역 경계설정에 관한 연구”, 「한국지적학회」, 30(3): 85-95.
Joo, S.M., Choi, J.H., and Kim, B.J., 2014. “A Study on Boundary Set-up of Metropolitan Areas in Dae-gu using Network Analysis in GIS”, Journal of the Korean Society of Cadastre, 30(3): 85-95. -
최인호, 2017. “초고령사회의 지방중소도시에 대한 활성화 방안의 연구”, 「한국지적정보학회지」, 19(2): 181-195.
Choi, I.H., 2017. “A Study on Activation Plan for Small and Medium-sized Cities in the Super Aged Society”, Journal of the Korean Cadastre Information Association, 19(2): 181-195. [ https://doi.org/10.46416/JKCIA.2017.08.19.2.181 ]
-
Chen, W., 2021. “Delineating the Spatial Boundaries of Megaregions in China: A City Network Perspective”, Complexity, 2021(3): 1-10.
[https://doi.org/10.1155/2021/2574025]
-
Florida, R., Gulden, T., and Mellander, C., 2008. “The Rise of the Mega-region”, Cambridge Journal of Regions, Economy and Society, 1(3): 459-476,
[https://doi.org/10.1093/cjres/rsn018]
-
Georg, I., Blaschke, T., and Taubenbock, H., 2018. “Are We in Boswash Yet? A Multi-Source Geodata Approach to Spatially Delimit Urban Corridors”, Geo-Inf, 7(1): 15.
[https://doi.org/10.3390/ijgi7010015]
- Glocker, D., 2018. The Rise of Megaregions: Delineating a New scale of Economic Geography, OECD Regional Development Working Paper, OECD Publishing.
-
Gottmann, J., 1957. “Megalopolis or the Urbanization of the Northeastern Seaboard”, Economic Geography, 33(3): 189-20.
[https://doi.org/10.2307/142307]
- Gottmann, J., 1961. “Megalopolis: The Urbanized Northeastern Seaboard of the United States”, New York: Twentieth Century Fund.
-
Guo, Y. and Liu, Y., 2018. “Materializing the “Urban Region” Concept by Integrating Ecological Networks and Central Place Theory”, Journal of Environmental Protection, 9(13): 1314-1342.
[https://doi.org/10.4236/jep.2018.913082]
- Hagler, Y., 2009. “Defining U.S. Megaregions”, America 2050.
- Hall, P. and Pain. K., 2006. The Polycentric Metropolis: Learning from Mega-City Regions in Europe, Gateshead: Gutengerg Press.
-
Harrison, J. and Holyer, M., 2015. “Megaregions: Foundation, Frailties, Futures”, in Megaregions: Globalization’s New Urban Form, 1-28.
[https://doi.org/10.4337/9781782547907.00007]
- Ross, C.L. and Woo, M., 2009. “Identifying megaregions in the United States: Implications for infrastructure investment”, in Megaregions: Planning for Global Competitiveness, 53-80.
- Ross, C.L., Barringer, J., and Yang, J., 2008. Megaregions: Literature Review of the Implications for U.S. Infrastructure Investment and Transportation Planning, Atlanta: Center for Quality Growth and Regional Development at the Georgia Institute of Technology.
-
Ross, C.L., Woo, M., and Wang, F., 2016. “Megaregions and Regional Sustainability”, International Journal of Urban Sciences, 20(3): 299-317.
[https://doi.org/10.1080/12265934.2016.1189846]
- Taylor, P.J. and Pain, K., 2007. “Polycentric Mega-city regions: Exploratory Research from Western Europe”, The Healdsburg Research Seminar on Megaregions, 59-67.
-
Woodall, B., Borowitz, M., Watkins, K., Costa, M., Howard, A., Kemerait, P., Lee, M., Rolls, G., Takubo, Y., Titshaw, R., Winstead, M., Zhang, J., and Zhou, D., 2023, “The Megaregion – Forms, Functions, and Potential? A Literature Review and Proposal for Advancing Research”, International Journal of Urban Sciences, 28(1): 82-104.
[https://doi.org/10.1080/12265934.2023.2189156]










