
Print publication date Aug 2014
A study on change in residential area in accordance with reconstruction and remodeling business method decision factor
The purpose of this study is to estimate change in residential area in the future, whether reconstruction and remodeling. The method used a Monte Carlo simulation. The implication that can be drawn from the analysis result. First, Sublate of costly expansion remodeling is necessary and low-cost remodeling must be increased. Second, past system implemented in order to regulate reconstruction business during the times when the housing market was booming, should be relaxed or abolished as they are unnecessary control elements in the current housing market. Third, more focus should be placed on utility value as opposed to investment value in relation to housing. The government must propose various remodeling guidelines that can be chosen in accordance with the characteristic of the apartment complex. In order to stimulate revitalization of deteriorated apartments, remodeling relaxation policy is necessary, but reconstruction regulation relaxation policy that does not lean too much towards one side is necessary at this point.
Keywords:
Aged Apartment, Remodeling, reconstruction, Transformation of Residential Area, Monte Carlo Simulation, 노후공동주택, 리모델링, 재건축, 주거지변화, 몬테카를로 시뮬레이션Ⅰ. 서 론
1. 연구의 배경 및 목적
우리나라의 공동주택 공급은 1970년대부터 시작되어 1980년대 중반 이후까지 1기 신도시가 건설되면서 대량으로 공급해 왔다. 이 시기에 건설된 공동주택은 20년 이상이 경과되어 노후화된 공동주택이 급증하면서 주택의 유지·관리 및 개·보수의 필요성 증대와 주택의 질에 대한 사회의 다양한 요구 변화로 주거환경개선을 위한 재정비의 필요성이 제기되었다.
2000년도가 시작되면서 저층아파트를 중심으로 주택재건축사업이 본격화 되었으나 주택재건축은 주택가격 급등으로 재산 증식수단으로 변질되면서 투기의 근원이 되자 정부에서는 각종 규제 정책을 내놓기 시작하였다(서광채, 2010). 이와 더불어 국제금융위기 이후 부동산 경기가 침체되면서 정책뿐만 아니라 사회·경제적 요인에 의하여 재건축사업의 추진이 지연되고 중단되는 상황이 계속되어 오고 있다. 이러한 부작용을 완화하기 위한 대체수단으로 리모델링은 사회적 관심이 증대되고 새 정부 출범과 함께 주택정책의 새로운 화두로 떠오르고 있다.
최근 정부는 2014년 2월 7일 「주택법」을 개정하여 리모델링의 수직증축과 일반분양을 15%까지 허용하는 등 공동주택 리모델링 사업의 활성화방안을 마련하고 있다. 그러나 리모델링에 대한 사회적 수요 증가에도 불구하고 부동산 경기침체로 주택시장이 경직되어 있는 현재 시점에서 정책입안자들의 의사결정에 따라 리모델링 시장이 정착되거나 위축될 수 있는 중요한 시점이다.
현재의 법·제도를 기준으로 할 때 노후 공동주택단지들은 유지관리를 할 것인지 사업을 진행할 것인지 만약, 사업을 진행하게 된다면 어떤 방식을 선택하느냐에 따라서 긍정적인 측면과 부정적적인 측면들이 있을 것이다. 시간이 경과함에 따라 주택은 점점 노후화 되어 주변 환경까지 슬럼화 되기 때문에 주거지의 정비는 필수불가결한 요소로서 현재의 정책에 따라 주거지는 다양한 모습을 띄게 될 것이다. 따라서, 법·제도의 규제 또는 완화에 따라 변화게 되는 향후 주거지 변화를 예측해 봄으로써 정책 방향을 재설정 해볼 수 있는 연구가 필요하다.
본 연구는 공동주택을 대상으로 물리적 변수와 경제적 변수, 행정적 변수(규제 및 완화 제도)를 선정하여 사업방식 결정모형을 구축하고 사업방식 선택 결정요인을 도출하고자 한다. 최근 현안으로 떠오른 분양가상한제 폐지와 개발이익환수, 리모델링 증축 허용, 일반분양 15% 허용 등 법․제도 적용에 따라 변하게 되는 수익성 분석을 통하여 사업방식 선택확률을 구한다. 선택된 사업방식별로 서울시 강남구 전체 아파트 단지의 현재, 5년, 10년 후의 주거지 변화를 예측해 보고자 한다. 향후 사업방식의 의사결정을 위한 기초자료를 제공하는 동시에 노후 공동주택 재생을 위한 사업방식별로 차별화된 주택정책 방향에 대한 시사점을 도출하고자 하는 것이 연구의 목적이다.
II. 이론적 고찰 및 선행연구 분석
1. 재건축과 리모델링의 법·제도 분석
(1) 개발이익환수(임대주택 건설 의무)
재건축사업 시행 시 정비계획으로 정하여진 용적률에도 불구하고 법적상한용적률까지 건축할 수 있다. 사업시행자가 정비계획으로 정하여진 용적률을 초과하여 건축하고자 하는 경우에는 법적상한용적률에서 정비계획으로 정하여진 용적률을 뺀 용적률 비율에 30~50%에 해당하는 면적에 주거전용면적 60㎡이하의 소형주택을 건설하여야 한다. 이 주택은 국토교통부장관, 시·도지사, 시장·군수 또는 주택공사 등에게 공급하여야 하며 이를 임대주택 또는 전세주택으로 활용하여야 한다.1) 서울시의 경우에는 용적률의 비율을 50%로 규정하고 있다.
(2) 재건축 가능 연한 제한
서울시는 기존 20년만 지나면 재건축을 진행할 수 있도록 규정된 법체계를 2003.9.1 조례개정을 통해 재건축 가능 연한을 강화하였다.
1992년 1월 1일 이후 준공된 5층 이상의 건축물은 40년, 4층 이하의 건축물은 30년이 경과하여야만 재건축 추진이 가능하다.
(3) 분양가상한제
분양가상한제는 아파트 분양가를 산정할 때 땅값과 건축비를 고려해 일정 수준 이상을 넘기지 못하게 하는 제도이다. 2005년 5월 공공택지에 건설되는 전용면적 85㎡이하의 주택에 대하여 분양가상한제를 도입하고, 2007년에는 민간택지에서 공급되는 주택으로까지 확대되었다(우철민 외, 2012). 그러나 2009년 주택건설이 민간부문을 중심으로 급속히 감소하여 경기 활성화에 제약요인으로 작용하고 있고, 수급불균형으로 인하여 주택가격 상승이 우려된다는 점을 들어 민간택지에 대한 분양가상한제 폐지를 추진 중에 있다.
(1) 수직증축 및 일반분양 15% 허용
2014년「주택법」 개정에 의하면 수직증축 범위를 기존 아파트가 14층을 초과하면 3층 이내, 14층 이하인 경우는 2층 이내로 수직증축을 허용하였다. 일반분양이 가능한 가구 수 증가 범위는 전체 가구 수 대비 15%까지 확대되었다.
가구별 증축 가능 면적은 현행 규정을 유지해 전용면적 85㎡는 기존 면적 40% 이내, 85㎡ 초과는 30% 이내에서 허용하고 있다.
(2) 주택분할로 가구 수 증가(세대구분)
자신의 주택을 분할하는 방식으로 가구 수를 늘리는 것도 가능하다. 예를 들어 기존 주택이 전용 132㎡ 규모로 리모델링한 후 전용면적이 30% 늘어난 171.6㎡가 될 경우 85.8㎡ 2가구를 넣을 수 있다. 이는「주택법 시행령」제2조의 3에 신설(2013. 12. 4)된 조항으로 세대별로 구분된 각각의 공간은 주거전용면적이 14㎡ 이상이어야 하며, 전체 호수의 1/3이내, 세대별로 구분된 주거전용면적 합계가 주택단지 전체 주거전용면적 합계의 1/3 범위 내에서 세대구분형이 가능하다.
2. 리모델링의 정의
공동주택 리모델링의 근거가 되는 법률은 크게「주택법」과「건축법」에서 규정하고 있다.
리모델링이란 ‘건축물의 노후화를 억제하거나 기능 향상 등을 위하여 대수선하거나 일부 증축하는 행위’로 「건축법」 제2조제10호와 「주택법」 제2조제15호에서 정의하고 있다. 리모델링의 유형은 증축 리모델링과 대수선으로 구분하고 있으며, 증축형 리모델링은 「주택법」 제2조에서 ‘사용검사일 또는 「건축법」에 따른 사용승인일부터 15년이 경과된 공동주택을 각 세대의 주거전용면적의 10분의 3 이내(세대의 주거전용면적이 85㎡미만인 경우에는 10분의 4 이내)에서 증축하는 행위’라고 정의 하고 있다. 그리고, 대수선은「건축법」 제2조에서 건축물의 기둥, 보, 내력벽, 주계단 등의 구조나 외부 형태를 수선·변경하거나 증설하는 것으로써 대통령령으로 정하는 것으로 규정하고 있다.
본 연구에서는 사용하는 용어로 ‘리모델링’은 증축형 리모델링을 정의하고 있으며, ‘수선형’은 수익성이 없어서 재건축과 리모델링 사업을 선택하지 못할 경우「건축법」 제2조의 대수선을 선택하는 것으로 정의한다.
3. 선행연구 검토
재건축과 리모델링의 사업방식 결정에 관한 연구들의 대부분은 경제성분석, 의사결정을 위한 AHP(Analytic Hierarchy Process)분석, 경제성 분석을 위하여 NPV(Net Present Value)기법, LCC(Life Cycle Cost)기법 등을 활용하여 분석하고 있다.
이용만·배순석(2007)은 NPV기법을 활용하여 유지보수, 리모델링, 재건축 의사결정의 모형을 수립하였다. 분석결과, 경제성장률이 낮을수록 개발시점이 늦춰지고, 경제성장률이 높은 지역일수록 단기에 개발하는 것을 선호하였다. 경제성장률이 낮은 지역에서는 재건축보다 리모델링이 유리하며, 경제성장률 또는 임대료 상승률이 높은 지역에서는 재건축이 유리하다고 하였다. 변수값이 일정하다는 가정하에 의사결정 변화를 보았기 때문에 변수들간의 상호작용에 의한 시장 전체의 변화를 살펴보기는 어렵다.
최상희(2007)은 재건축과 리모델링 사업방식 선택 시 건축적·제도적·경제적 재생요소를 분석하여 향후 사업방향을 예측할 수 있는 재생 결정과정을 사업 유형별로 모형화하였다. 기존 노후 공동주택은 개발 밀도가 낮아 재건축 비율이 높아지면서 개발 규모가 커지고 있으므로 현재의 제도 기준을 지속적으로 적용하기에는 많은 한계점을 갖고 있다고 하였다. 또한, 소형평형의무비율제, 개발이익환수제의 이중 규제 적용에 따른 재건축사업 대상 축소가 결국 소형, 임대 공급원으로써 재건축의 활용 가능성을 감소시킨다고 하였다. 용적률 증가에 따른 면적증가분만으로 결정모형을 도출하였고 사업에 미치는 가격의 변화는 고려하지 못한 한계를 가지고 있다.
고재풍 외(2007)은 강남구 노후 공동주택단지를 대상으로 AHP분석을 통해 사업방식의 결정요인을 도출하였고 NPV, IRR분석으로 수지분석과 민감도분석 실시하였다. 연구결과, 일대일재건축은 결의단계의 조합분야와 재건축 정책 분야가 사업추진과 수익성에 영향을 미첬으며 리모델링은 시공분야와 경제성 분야가 사업추진 및 수익성에 영향을 미치고 있다고 하였다. 강남구의 2개 사례단지의 분석결과만으로 전체를 논하기에는 한계가 있다.
김갑성 외 (2008)는 수도권 공동주택단지를 가정하여 재건축사업은 기반시설부담금제도와 초과이익환수제도를, 리모델링은 사업제한 연도를 20년에서 15년으로 축소한 부분에 관하여 연구하였다. 토지면적, 허용용적률, 공사비, 기반시설부담금, 개발부담금 등에 따른 사업성을 시뮬레이션을 통하여 재건축과 리모델링 이익(수입-지출)을 분석하였다. 그 결과, 소규모단지일 경우 리모델링사업이 유리하고, 대규모단지일 경우 재건축사업이 유리하다고 하였지만 변수의 영향 정도를 정확한 수치보다는 변동추이를 분석하였고 가정된 공동주택단지이기 때문에 실질적인 적용이 필요한 연구이다.
서광채(2010)는 강남과 강북의 저층, 중고층 아파트 단지를 대상으로 NPV분석과 민감도분석을 실시하여 재건축과 리모델링의 사업선택의 결정요인을 분석하였다. 연구결과, 재건축은 저층과 중고층에 관계없이 분양가상한제와 소형주택과 같은 규제정책보다는 그 단지가 속해있는 지역적 여건이 큰 영향을 미치고 있었다. 리모델링은 아파트 유형뿐만 아니라 그 단지가 속해 있는 지역적 여건이 모두 충족되어야 사업추진이 가능하다는 결론을 제시하였다. 따라서 사업의 추진 시 지역별·유형별 정책적인 차별화가 필요하다고 하였다. 그러나 4개단지의 사례로 일반화 시킬 수 있다는 데에는 오류가 예상되며, 입주 전 가치를 동일하게 가정하였다는데 한계가 있다.
선행된 연구의 대부분은 실제 사업이 시행되지 않고 예상되는 단지나 수도권의 가상의 단지를 사례로 들어 재건축과 리모델링의 수익성분석에 그치고 있고, 개별단지의 특성만을 고려하여 사업방식의 결정요인을 도출하고 있다. 본 연구는 강남구 아파트 전체를 대상으로 단지의 개별적 특성뿐만 아니라 물리적 변수와 경제적 변수, 행정적 변수(규제 및 완화 제도) 등 다각적인 측면에서의 분석을 통하여 결정요인을 도출한다. 사업의 결정에 가장 크게 작용하는 것은 결국 개발이익이다.
따라서, 현재의 제도를 5가지의 조건으로 구분하여 가격변화에 따른 사업방식 선택확률과 시기를 예측해 보았다. 선행연구에서는 1가지 조건에 따른 시뮬레이션 분석을 하였다면, 본 연구는 여러 가지 조건을 결합하여 시뮬레이션 한 결과로 사업방식을 결정하였다는 데에 차별성을 가진다. 또한, 향후 사업방식 선택에 따라 변하게 되는 주거지정비 모습을 예측해 봄으로써 사업 유형별로 합리적인 정책 방향을 제시한다는 점이 선행연구와의 차별성이다.
III. 분석의 틀
1. 변수의 선정
사업방식 결정에 관련된 변수는 사업방식 결정에 관한 연구를 통하여 표 1(표 2)과 같이 선정하였다. 건축적인 요소는 개발의 사업성과 규제측면에서 공공에 의해 적용되어 온 변수로서 사업성 판단에 중요한 요소이므로 선정하였다.
사업적 요소로 공사비는 국토교통부 장관이 주택건설에 투입되는 건설자재 등의 가격변동을 고려하여 산정한 공동주택 건설공사비지수와 이를 반영한 기본형 건축비를 정기고시하고 있다. 2013년 3월 기준으로 고시된 기본형건축비(국토교통부고시 제2013–524호)를 적용하였고, 과거는 2000년도 이후부터 그동안 고시되었던 건설공사비지수를 활용하여 보정하였고 그 이후 변동분 적용은 2020년까지 반기평균상승률을 기준으로 하여 상승률을 추정하였다. 리모델링의 공사비는 선행연구2)를 근거로 하여 재건축 공사비의 60%를 기준으로 하였다.
필지별 공시지가, 공급(증축)면적, 증가된 용적률, 공급세대수, 일반분양가, 세대별 면적 증가분은 향후 발생하는 조합의 수익으로 사업계획 단계에서 사업성 판단에 결정적인 요소이면서 1인당 추가부담금의 측정 요인으로 중요한 역할을 하는 변수가 된다(고재풍 외, 2007;김갑성 외, 2008). 이 요소에서 공사기간은 고려하지 않았다. 본 연구는 사업이 가능한 연도를 예측하여 미래가치를 현재가치로 환가시켜 계산하여 일률적으로 사업방식 어떻게 변할 것인지를 예측해 보는데 중점을 둔 연구이다. 그러므로 개별단지의 공사기간이나 공사시기를 가정하고 분석한다면 오류가 발생할 수 있다. 따라서 공사시작 시기가 일정하다고 가정하고 분석하였다.
경제적인 요소로서 주변지역 신축아파트 가격과 사업 후 변동되는 가격은 사업 결정에 중요한 요인이 된다. 일반적으로 재건축 및 리모델링사업이 이루어지거나 이루어질 가능성이 있는 단지는 가격 상승에 대한 기대심리로 인하여 실제 가격이 상승하게 되는 경우가 발생한다. 현재를 기준으로 하여 가격은 지난 10년간 주택매매가격 연평균 상승률 3.2%를 고려하여 ±10% 범위내 상승하거나 하락할 것이라고 가정 하에 조정하였다. 기존 아파트 가격과 주변지역의 5년 이내 신축한 아파트 가격은 국민은행 KB아파트시세의 가격평균가를 적용하였다.
행정적인 요소 중 재건축 관련 요소로 개발이익환수제는 재건축사업시행 시 정비계획으로 정하여진 용적률을 초과하여 건축할 경우 법적상한용적률까지 건축이 가능하므로 초과하는 용적률 비율의 50%에 해당하는 면적은 임대주택으로 건축하고 나머지 면적에 대하여는 조합원의 수익부분으로 포함시켜 산출함으로써 재건축과 리모델링 사업성 결정에 영향을 미칠 수 있는 의미로 선정하였다.
분양가상한제는 건축비+택지비를 합산하여 분양가격을 산정하는 방식으로 계산되며, 이 제도에 적용되는 주택을 분양할 때는 산정된 분양가격 이하로 공급하여야 한다. 분양가상한제 폐지가 거론되고 있는 현 상황에서 분양가 상한제의 실효성을 검토해 보고자 선정하였다.
리모델링 관련된 요소로 국토교통부에서 2013년 6월 5일 발표한 ‘공동주택 리모델링 제도개선 방안’에서 제시한 세대당 증축면적 증가와 일반분양비율 15%를 반영하여 변수로 선정하였다.
2. 분석 대상 단지
분석대상은 서울시 강남구의 아파트 단지 중 2013년 4월을 기준으로 준공된 251개 단지를 대상으로 하였다. 강남구를 분석대상으로 한 이유는 표 3에서 보는바와 같이 서울시 전체에서 동남권이 차지하는 재건축과 리모델링 사업 대상 세대수는 전체 아파트 세대수 대비 재건축은 35.3%, 리모델링은 64.3%로 다른 지역에 비하여 월등히 높다. 따라서 재건축·리모델링사업 대상 세대수가 가장 높은 동남권 중 강남구를 선택하였다. 강남구는 서울시의 대표적인 자치구로서 도심재생사업의 주축을 이루면서 아파트가격의 선도적 역할을 하고 과거 주택정책의 시발점3)이 되는 곳으로서 주요 관심의 대상이 되는 곳이므로 선정하였다.
3. 주거지 변화예측 방법
몬테카를로 시뮬레이션(Monte Carlo Simulation)은 통계적 불확실성 추정기법으로 분석적인 방법에 의해 해결되지 않는 문제를 난수(Random Number)를 사용하여 확률변수의 미래 값을 예측하는 수치적 접근방법이다. 이를 위하여 확률모형의 모수(parameter)나 변수에 대하여 반복적으로 여러 수치를 시도하여 확률변수의 분포를 얻어내야 하는데 이때 이 분포를 시뮬레이션하기 위하여 반복적으로 이용하는 수치를 일련의 난수(random number)로부터 얻는다(설유진 외, 2008; 류강민·이창무, 2010).
몬테카를로 시뮬레이션의 장점은, 입력에 해당 하는 조건에 임의의 난수를 발생시켜 모든 경우의 수를 따져 보고 그 결과(output)에서 발생하는 분포와 통계량을 제공하여 의사결정을 지원하는 것이다(한혁수·김초희, 2010).
본 연구는 각 사업방식별 결정요인들이 미치는 파급효과에 의해 주거지가 변화되는 과정을 분석하기 위한 연구로서 몬테카를로 시뮬레이션의 방법을 활용한다.
4. 재건축과 리모델링 사업방식 결정모형
본 연구에서 사용하는 재생의 범위는 현재 노후 공동주택의 주거환경 개선을 위해 민간 주도로 이루어지는 재건축과 리모델링을 중심으로 하였다.본 연구에서는 재건축,리모델링,수선형으로 사업 유형을 분류하고 사업의 선택 기준을 사업 이후 주택가격, 기존 주택 가격, 공사비, 일반분양수익을 통해 도출된 손익을 비교하여 결정하는 것 을 기본 전제로 한다. 재건축과 리모델링 중 사업 이후 값이 큰 사업 유형을 선택하는 것으로 전제하며 총 수익성의 값이 0보다 작으면 수선형을 선택하는 것으로 분류하였다.
재건축과 리모델링의 사업방식 결정을 위해서는 통합된 모형을 구축하여야 한다. 그러나, 사업별로 적용되는 법·제도가 각각 다르므로 두 사업을 통합해서 모형을 구축할 수 없는 한계로 사업별 각각의 모형을 구축하였다. 분석대상 단지는 동일단지이며, 변수 중 행정적인 요소만 제외하고 모두 동일한 변수를 이용하여 분석하였다. 또한, 수익성이라는 하나의 공통된 지표로 최종 사업을 선택하는 방식으로 연구를 진행하였다.
재건축과 리모델링 사업선택 결정과정을 모형화 한 후 선형계획법(LP모형)에 의하여 제도적 규제를 가했을 때 나타날 수 있는 재건축과 리모델링의 사업 유형을 도출하였다.
사업방식결정 분석은 준공일, 기존 용적률, 세대수, 대지면적, 단지의 평형비율을 기준으로 건축현황을 분석하고, 공사비, 예상 일반분양가, 주변아파 트매매가격을 모형화 된 수식을 적용하여 사업 유형을 분석하였다. 분류된 사업 유형별로 재건축과 리모델링이 가능한 연한이 되면 사업을 추진할 것이라고 가정하였다. 그리고 향후 강남구의 변화되는 모습을 시뮬레이션을 통해 예측해보는 것으로 연구를 진행한다.
연구 진행의 흐름은 그림1과 같다.
리모델링의 사업선택 결정을 위한 전제조건과 가정은 다음과 같다.
- 1. 리모델링을 통한 기존 주택의 면적증가는 85㎡이하는 40%, 85㎡초과는 30% 세대당 동일한 면적으로 증축한다고 가정한다.
- 2.리모델링 후 면적증가분의 일반분양면적은 공급면적110㎡(국민주택 규모)를 동일하게 분양한다고 가정하고 남는 면적은 기존 주택의 면적 증가에 사용된다고 가정한다.
- 3.기존세대수의 15%를 일반분양한다고 가정한다.
- 4.리모델링 후 단위면적 당 가격이 그 주변 신축아파트(5년 이내 신축) 가격보다 높거나 같아야 사업을 결정한다4).
- 5.가정 1~4< 0인 경우, 수선형 리모델링을 선택한다고 가정한다.
리모델링 결정모형의 수식기호는 표4와 같다.
가정 1 의 ‘리모델링을 통한 기존 주택의 면적증가는 85㎡이하는 40%, 85㎡초과는 30% 세대당 동일한 면적으로 증축한다고 가정한다.’의 수식은 다음과 같다.
는 리모델링 이전의 기존
아파트 면적으로 아래의 수식을 적용하여 리모델링 이후 증가된 면적
값을 구한다.
가정 2와 가정 3의 값을 구하기 위하여 선형계획법에 의한 LP모형을 활용한다.
선형계획법이란 제약조건을 충족하면서 목표를 달성하기 위한 선택 가능한 대안들을 도출하여 이러한 대안 중 목표에 가장 적합한 최적안을 선택하는 분석기법이다(원제무, 2000) 최종 사업선택을 위해서는 목적함수(objective function), 제약조건(constraints) 및 변수의 구성요소들이 선정되어야 한다.
LP모형의 일반형식으로 일반분양 최대 면적 산출을 위한 목적함수와 제약식은 다음과 같다.
증가하는 용적률의 일부를 공급면적 110㎡로 동일한 규모로 일반분양한다는 가정 하에 일반분양 총면적 Ia를 산출한다.
일반분양할 수 있는 세대수는 전체세대수 대비 15%까지 일반분양 한다고 가정할 때,
가 된다.
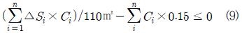
일반분양을 15%까지만 한다는 제약을 둘 경우 면적별 최대 증가분 △Si는 다음과 같은 선형함수로 표현할 수 있다.
여기서 전용면적이 85㎡ 이하(Ai ≤ 85㎡)이면
△Si ≤ Si × 0.4
전용면적이 85㎡ 초과(Ai > 85㎡)면
△Si ≤ Si × 0.3가 된다.
이 결과를 토대로 리모델링 손익은 ‘사업 후 주택가격 - 기존 주택 가격 - 공사비 + 일반분양수익5)로 계산된다.
리모델링이 사업성을 가지려면 t 시점을 기준으로 가정(1~5) >0을 만족하여야 한다.
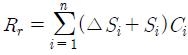
일반분양을 제외한 조합원 면적 합계 Ur은
조합원 추가부담금 총액은 다음과 같이 정의된다.
아파트 단지가 재건축이 추진된다고 가정할 경우 재건축 이후 주택면적과 가격의 변화가 아래의 전제조건을 만족 할 경우 재건축사업을 결정할 것이라고 가정한다.
- 1. 기존 주택의 규모가 재건축의 최대계획용적률 보다 작은 경우 재건축을 선택한다.
- 2. 재건축사업의 최대계획가능용적률은 도시계획조례의 허용용적률보다 크거나 같아야 사업을 결정한다6).
- 3. 개발이익환수제 적용시 초과하는 용적률의 50%를 임대주택으로 건설한 후 총면적이 기존 주택 총면적보다 많아야 결정한다.
- 4. 재건축으로 인해 발생하는 개발이익과 소형평형공급 세대분을 제외한 나머지 증가분은 기존 주택의 면적 확대에 사용된다고 가정한다.
- 5. 전용면적 85㎡이하 주택에 분양가상한제 적용 시 기존주택의 가치에 1인당 추가부담금을 더한 값이 주변 같은 규모의 신축 아파트 (5년 이내 신축) 매매가격7)보다 높거나 같아야 사업을 결정한다.
- 6. 가정 1~5< 0인 경우, 수선형 리모델링을 선택한다고 가정한다8).
리모델링 결정모형의 수식기호는 표 5와 같다.
(1) 개발이익환수제 적용
「도시 및 주거환경정비법」의 용적률 완화기준 적용 시 최대계획가능 용적률을 초과하여 법적상한용적률까지 건축할 수 있다. 이 경우, 법적상한용적률에서 정비계획으로 정해진 용적률을 뺀 용적률비율의 50%에 해당하는 면적의 주거전용면적 60㎡ 이하의 소형주택을 건설하여 임대주택으로 기부채납형식으로 공급하여야 한다.
이 조건을 적용할 때에 가정2 >1 : 기존대비 늘어나는 용적률이 최대 계획가능용적률이다.
는 기존 용적률 대비 최대
계획가능용적률로서 증가한 용적률이다.
는 최대계획가능 용적률을 초과하는 용적률비율의 50%를 임대주택으로 건설한 경우 증가하는 용적률이다.
는 기존용적률 대비 최대 허용가능용적률로 증가한 용적률이다.
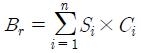
Br(기존 아파트 총 면적)에 대한 수식은 식 15와 같다.
재건축 이후 용적률 CR2에 대한 수식은 식 16과 같다.
CR2=1이라고 가정하면(용적률 증가가 없다고 가정) 재건축 이후 수익성은 아래 조건을 만족하여야 한다.
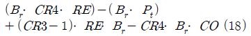
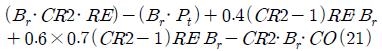
가정 3의 재건축사업 시 기존 용적률 대비 도정법 상 정비계획 용적률을 초과한 용적률비율의 50%를 개발이익환수로 임대주택을 건설한 경우 수식은 다음과 같다.
Br(기존 아파트 총 면적)에 대해 정리하면 식 19와 같다.
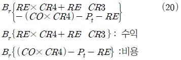
최종사업성분석 수식은 식 20과 같다.
(2) 분양가상한제 적용
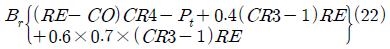
재건축사업 시 전용면적별 공급비율은 60㎡ 미만20%, 60㎡ 이상 85㎡이하 40%, 85㎡초과 40%비율로 공급하여야 한다. 따라서 분양가상한제는 85㎡이하 국민주택규모에 적용하므로 전체 공급규모 중에서 60%는 분양가상한제 적용주택이라고 가정하고 분양가상한제 적용 시 공급가격은 70%9)수준이라고 가정한다.
최대계획가능 용적률에 분양가상한제를 적용한 수식은 다음과 같다.
법정상한용적률에 분양가상한제를 적용한 수식은 다음과 같다.
본 연구에서 수행한 몬테카를로 시뮬레이션은 식(1) ~ 식(22)의 과정과 조건을 이용하여 작업을 수행하였다. 25개의 조합으로 2,510,000번의 반복과정을 통하여 사업선택을 가상적으로 도출하였다. 난수를 사용하기 위하여 정규분포형 난수생성방법을 활용하였다. 난수발생의 범위는 다음 식과 같다.
시뮬레이션은 SAS 9.3을 활용하였다
Ⅳ. 실증분석
1. 사업선택 확률
본 연구는 현재 재건축·리모델링의 법·제도 요건 변화에 따라 사업방식이 어떻게 결정되는지를 알아보고자 하였다. 이를 위해 시뮬레이션의 조건 변화를 면적증가, 일반분양15%, 용적률 증가, 개발이익환수, 분양가상한제 적용 항목을 결합하여 표 6에서 보는바와 같이 조건1~조건5까지 5개의 유형을 구분하여 사업방식선택 변화를 추정하였다. 이 조건에 따라 변하는 요인은 2013년을 기준으로 현재시점과 5년, 10년 후 아파트가격이 변동하지 않고 계속 유지될 것이라는 가정과 ±10% 범위 내에서 지난 10년 동안 주택매매가격 연평균상승률을 반영하여 주택가격이 매년 3.2%10) 상승하거나 하락한다고 가정하였다.
주택시장의 경기는 여러 가지 요인에 의하여 계속적인 변화를 가져온다. 주택경기 침체가 계속 이어진다고 해서 그 정체기가 계속되는 것은 아니기 때문에 가격이 어떻게 변화될 것인지에 대하여는 예측하기가 어렵다. 가격의 변동이 없이 계속 유지될 경우만을 가정하고 사업선택 결정의 결과 값을 도출하기에는 한계가 있기 때문에 향후에 가 격이 상승·하락할 것이라는 가정도 함께 고려하여 시뮬레이션 하였다.
공사비는 국토교통부 건축비 고시자료11)를 기준으로 산출한 평균상승률로 매년 3%씩 상승한다는 가정 하에 나온 결과로 사업방식을 선택하였다. 분석대상 단지는 2013년 현재 시점에서 15년 전 준공된 1998년 이전에 준공된 단지이며, 5년 후 변화 대상의 단지는 2003년 이전에 준공된 단지, 10년 후 변화 대상 단지는 2008년 이전에 준공된 단지를 기준으로 분석하였다.
조건 1~2는 현재 시행되고 있는 제도를 적용하여 분석하였다. 리모델링은 85㎡이하는 40%, 85㎡초과는 30%로 세대당 동일한 면적으로 증축하고 일반분양은 공급면적 110㎡인 동일규모로 15% 일반분양한다고 조건을 주었다. 재건축은 법정상한용적률을 적용하여 초과하는 용적률의 50%를 임대주택으로 건설하는 개발이익환수의 조건과 도시계획조례에서 정한 허용용적률로 건설하고 개발이익환수는 적용하지 않는 조건을 주었다. 이 두 조건에 분양가상한제를 적용할 경우와 적용하지 않을 경우를 구분하여 추가 조건을 주었다.
조건 3은 「도시 및 주거환경 정비법」 제30조의 3에 의하여 초과하는 용적률의 30~50% 범위내에서 임대주택건설에 관하여 규정하고 있다. 따라서 초과하는 용적률의 30%를 임대주택으로 건설할 경우의 조건으로 가정하여 보았다. 조건 4~5는 「주택법」에 의하여 30~40%까지 면적 증가가 가능하지만, 개별 단지 특성에 따라 증축 가능한 면적이 다를 것이므로 증축면적이 10% 증가 할 경우와 20% 증가 할 경우로 구분하여 가정하였다. 재건축의 용적률의 조건은 기존용적률 대비 50% 만큼 증가한 용적률에 개발이익환수 50%를 적용한 경우와 적용하지 않은 경우로 가정하였다. 50%의 용적률 조건은 강남구의 2014년 준공예정인 리모델링 사례단지12) 의 기존용적률 대비 증가한 용적률이 평균 약 42.9%이므로 이를 근거로 재건축 사업을 실시할 경우 리모델링과의 형평성을 맞추기 위한 전제 조건으로 50% 증가한다고 가정하였다.
2008년 국제금융위기 이후 계속되는 경기침체로 수도권 주택시장은 현재까지도 회복의 기미가 보이지 않고 있다. KDI 보고서에 의하면 서울시의경우, 4.1 부동산 대책 발표 이후 거래량은 증가하는 추세이지만, 실질매매가격은 2013년 6월 말 기준 전년동기대비 수도권이 -4.11%하락하여 침체 정도가 심하고, 서울은 강남과 강북 지역 모두 하락세가 지속되는 가운데 전년동기대비 2013년 6월 기준 3.8% 하락하고 있다13). 이러한 주택시장의 현황을 고려하여 가격의 변동이 없이 현 상태를 계속 유지한다는 가정과 가격이 상승한다는 가정 하에 시뮬레이션 하였다.
가격의 변동이 없이 현 상태를 계속 유지한다는 가정의 분석결과는 표 7과 같다. 현재시점에서 1998년 이전에 준공된 아파트 단지의 경우, 조건 1에서는 분양가 상한제를 적용한 경우 52.2%, 적용하지 않은 경우 58.1%로 리모델링보다 재건축을 선택할 확률이 높게 나타났다. 그러나, 5년 후에는 분양가 상한제를 적용한 경우, 리모델링을 선택할 확률이 높게 나타났지만 분양가 상한제를 적용하지 않았을 때는 재건축을 선택할 확률이 높았다. 반면에 10년 후에는 분양가 상한제 적용 여부와 상관없이 리모델링을 선택할 확률이 높게 나타났다. 현재의 제도를 적용한 경우 대부분 장기적으로 갈수록 사업성이 없어 수선형 리모델링을 선택할 확률도 재건축과 비슷하게 나타났다.
조건 2에서는 용적률 완화 없이 최대계획용적률 범위 내에서 사업을 실시할 경우, 1998년 이전 준공된 아파트는 재건축을 선택할 확률이 높지만, 2003년, 2008년 이전에 준공된 아파트 단지들은 리모델링을 선택할 확률이 높게 나타났다.
조건3의 경우, 초과하는 용적률의 30%를 임대주택으로 건설하는 조건을 적용한 결과 분양가 상 한제 적용과 상관없이 장기적으로도 재건축을 선택할 확률이 높게 나타났다. 이는 개발이익환수라는 제도가 재건축사업 규제 중 강하게 효과를 나타내고 있다는 것을 알 수 있었다. 서울시의 재건축사업 활성화를 위한 규제 완화가 필요할 경우 임대주택건설 비율을 「도시 및 주거환경정비법」에서 정한 최소의 범위로 완화해 준다면 재건축사업에 원활한 진행이 이루어 질 것으로 본다.
조건4는 리모델링사업 시 단지의 특성으로 인하여 30~40% 정도의 면적 증가가 어려워 20%정도만 증축이 가능할 경우와 증가한 용적률이 기존 용적률대비 50%만큼만 증가할 경우, 현재시점에서는 리모델링 보다는 재건축을 선택할 확률이 높게 나타났다. 5년, 10년후에는 분양가상한제 적용시는 리모델링, 미적용시에는 재건축을 선택할 확률이 높게 나타났다. 리모델링 사례단지의 용적률 증가분을 감안한다면 재건축사업 시 기존 용적률 대비 50% 정도의 증가와 분양가상한제를 적용하지 않는다면 재건축사업의 활성화에 기여할 수 있을 것으로 본다.
조건 5는 기존 용적률이 높아 면적증가는 10%정도만 이루어지고 개발이익환수를 적용하지 않은 경우로 현재, 5년, 10년 후 어느 시점에 사업을 하든지 상관없이 분양가상한제에 별 영향을 받지 않고 모두 재건축을 선택할 확률이 높게 나타났다. 이러한 조건의 단지들은 리모델링의 개발이익이 나오지 않아 결국 20~40년 후 재건축 시점을 기다려 재건축사업을 할 수 밖에 없는 실정이다. 이러한 결과를 볼 때, 조건2의 결과와 함께 시사 할 수 있는 점은 2013년을 기준으로 준공된 지 15년 이상 된 단지들은 현재 시행하고 있는 리모델링의 제도적 틀 속에서 사업을 시행하기에는 한계점을 갖고 있다는 것이다. 향후 재건축을 통한 재정비사업이 일어날 가능성이 높은 점을 감안한다면 재건축 규제요소의 적용성에 대하여 고려가 필요한 부분이다. 개발규제의 원칙은 고수하여야 하지만 개발규제에 묶여 재건축이 불가능한 단지와 단지별 개발이익의 차이로 리모델링사업을 시행할 수 없는 경우를 고려한 계획 방안을 모색해야 할 것이다. 가격상승 시 시뮬레이션한 결과는 가격 유지시의 결과와 비슷하여 지면상 한계로 그림 2의 그래프로 대체하고 결과 값은 별첨에 붙인다.
장기적으로 가격이 하락할 경우를 가정한 분석결과는 표8에서 보는바와 같다.
조건1은 5년 후에 분양가상한제를 적용하지 않았을 경우만 재건축을 선택할 확률이 높고 분양가상한제를 적용한 경우 리모델링을 선택할 확률이 높게 나타났다. 개발이익환수가 적용되지 않은 조 건2는 5년 후 시점에는 용적률 완화 없이 계획용적률로 사업을 진행 할 경우 리모델링 분양가상한제와 상관없이 리모델링을 선택할 확률이 높게 나타났다. 반면에, 10년 후에 사업선택 결정은 조건 1과 조건 2의 경우 모두 사업성이 없어 수선형 리모델링을 선택할 확률이 높게 나타났다.
조건 3의 경우, 개발이익환수에 따른 임대주택 건설 비율이 30%로 낮춰진 경우에는 가격이 하락함에도 불구하고 5년, 10년 후에도 재건축을 선택할 확률이 높게 나타났다. 10년 후 시점에는 리모델링을 선택할 확률이 수선형을 선택할 확률보다 낮게 나타났다. 이는 2008년 이전에 준공된 단지들은 준공년도가 2008년에 가까울수록 고밀로 개발된 단지들이 주를 이루면서 리모델링으로 증축할 수 있는 면적이 많지 않은데다가 가격이 하락한다면 장기적으로 수선형을 선택할 수밖에 없는 구조이다.
조건1, 2, 3을 종합해 볼 때, 분양가 상한제가 적용됨과 미적용 됨에 따라 사업선택 결정에 영향을 미치고 있기는 하나, 가격 하락 시에는 장기적으로 갈 때 분양가상한제의 적용은 크게 영향을 미치는 않는 것으로 나타났다. 이는 장기적으로 갈수록 증축형 리모델링보다는 저비용 구조의 수선형 리모델링 추진방식에 대한 개발수요가 늘어날 것으로 예상해 볼 수 있다. 따라서, 주거환경 개선과 주민의 생활불편해소, 아파트 노후화 방지 등에 필요한 제도 개선이 이루어져야 할 것이다.
조건4는 5, 10년 후에 분양가 상한제 적용시 리모델링을 선택할 확률이 높게 나타났으며, 미적용시는 재건축을 선택할 확률이 높게 나타났다. 리모델링은 사업으로 증가하는 면적이 작아 개발이익이 많이 나지 않음에도 불구하고 개발이익환수의 50%가 개발이익에 미치는 영향력이 리모델링 면적 증가분보다 높다는 것을 알 수 있다. 조건 5는 5년, 10년 후에 사업을 실시하는 경우 분양가상한제에도 별 영향을 받지 않고 모두 재건축을 선택할 확률이 높게 나타났다. 대부분 단지들은 사업성이 없어 수선형을 선택할 확률이 높게 나타났는데 이러한 조건의 단지들은 결국 20~40년 후 재건축 시점을 기다려 재건축사업을 할 수 밖에 없는 실정이다.
2. 소결
시뮬레이션 한 전체 결과는 표 9와 같다. 이를 종합하면, 재건축을 선택할 확률은 43건, 리모델링을 선택할 확률은 23건, 수선형 리모델링을 선택할 확률은 4건으로 리모델링 활성화를 위하여 증축면적과 일반분양을 완화하는 정책에도 불구하고 단지의 특성상 재건축을 선택할 확률이 더 높게 나타났다.
부동산시장의 장기적인 침체가 지속되고 있는 현 상황에서는 대부분의 아파트에서 수직증축 리모델링의 사업성 확보가 용이하지 않다. 지금과 같이 부동산 시장이 저성장 국면을 지속할 경우에는 정부의 리모델링 활성화를 위한 어떠한 대책도 한계를 가질 수밖에 없을 것이다(윤영선, 2012).
현재 주택시장은 저출산·고령화 등으로 1~2인 가구가 증가하고 삶의 질을 추구하는 주거트랜드 변화에 따라 소형주택 위주의 수요층이 증가하고 있는 현 시장 상황에서 조합원은 주거환경개선과 욕구에 부응하기 위해서는 수선형 리모델링을 위한 지원과 활성화 방안이 필요할 것으로 보인다. 장기적으로 갈수록 증축형 리모델링보다는 저비용 구조의 수선형 리모델링 추진방식에 대한 개발수요가 늘어날 것으로 예상해 볼 수 있다. 분석결과, 개발이익환수제는 분양가상제와 더불어 재건축사업 추진에 큰 제약을 주는 규제요소로 분석되어 그만큼 재건축사업의 추진을 어렵게 만들고 있다.
개발이익환수제는 소형 세대 증가에 따른 저소득층 거주권 확보라는 과제를 해결하기 위해 도입된 공적 목표에 부합하는 계획 지표로 활용한다는 장 점이 있지만 강한 규제 적용에 따라 재건축사업 대상이 축소되어 결국 임대공급원으로써 재건축의 활용 가능성을 감소시키는 결과로도 나타나고 있다(최상희, 2005). 분양가상한제는 순기능보다는 건설경기하락으로 주택공급의 감소와 주택시장의 시장기능 정지, 미분양 증가 등과 같은 역기능 또한 내재하고 있다(우철민·.심교언, 2010). 분석결과에서도 장기적으로 갈수록 분양가상한제의 적용은 크게 영향을 미치는 않는 것으로 나타났다. 따라서 분양가상한제는 현재 주택시장의 침체로 인하여 사실상 주택시장에서는 의미가 없어졌기 때문에 주택경기 회복을 위해서라도 지속적인 유지는 불필요하다고 본다.
Ⅴ. 결 론
본 연구에서는 현행 재건축과 리모델링에 관련된 법·제도를 적용시켜 사업결정을 판단할 수 있는 모형을 구축하여 미래의 주거지 변화 모습을 예측해 봄으로써 앞으로 나아가야 할 정책방향을 살펴보고자 하였다.
사업결정방식에 대하여 시뮬레이션 한 결과, 도출할 수 있는 시사점은 다음과 같다.
첫째, 지금과 같이 부동산 시장이 저성장 국면을 지속할 경우에는 정부의 리모델링 활성화를 위한 어떠한 대책도 한계를 가질 수밖에 없다.
가격 하락 시에는 장기적으로 갈수록 저비용 구조의 수선형 리모델링을 선택할 확률이 높게 나타나고 있다. 이 결과, 용적률 증가를 수반하는 고비용구조의 증축형 리모델링은 주택시장 침체와 주거트랜드 변화에 따라 삶의 질 향상 욕구 등 여건변화에 대응하기에는 한계가 있다. 장기적으로는 저비용 구조의 수선형 리모델링 추진방식에 대한 개발수요가 늘어날 것으로 예상되므로 이를 위한 정책적 지원과 활성화 방안이 필요하다. 「주택법」에 증축형 리모델링 완화의 내용과 더불어 부수적으로 실현 가능한 수선형 리모델링의 범위와 유형을 다양화가 필요하다. 즉, 주택에 대하여 투자가치보다 이용가치에 정책방향을 재설정하여야 한다.
둘째, 과거 주택경기가 호황일 때 재건축사업을 규제하기 위해 시행된 제도들은 현재 주택시장에 불필요한 규제요소라는 것이다.
현행 제도인 조건 1의 가격 유지·상승할 경우에는 1998년 이전에 준공된 단지는 분양가 상한제와 상관없이 재건축을 선택할 확률이 높게 나타났다. 그러나 5년 후에는 분양가 상한제를 적용한 경우 리모델링을, 적용하지 않았을때는 재건축을 선택할 확률이 높았다. 반면에 10년 후에는 분양가 상한제 적용 여부와 상관없이 리모델링을 선택할 확률이 높게 나타났다. 분양가상한제는 초기에는 규제 효과가 있지만 장기적으로 갈수록 사실상 주택시장에서 의미가 없으므로 지속적인 유지는 불필요하다. 개발이익환수에 따른 임대주택건설 비율이 50% 적용할 경우(조건 1), 현재시점에서는 재건축을 선택할 확률이 높았지만 장기적으로 갈수록 리모델링을 선택할 확률이 높게 나타났다. 비율을 30%로 낮춰진 경우(조건3)에는 5년, 10년 후에도 재건축을 선택할 확률이 높게 나타났다.
개발이익환수제는 재건축사업 대상이 축소되어 오히려 임대공급원으로서의 활용 가능성을 감소시키고 있다. 서울시의 경우, 단지의 특성에 따라 「도시 및 주거환경정비법」에서 정한 범위(30~50%)로 임대주택건설 비율을 탄력적으로 운용할 필요가 있다.
셋째, 노후공동주택 재생의 활성화를 위해서는 리모델링과 재건축의 적절한 규제·완화 정책이 필요하다. 조건 4와 조건 5는 현재시점에서는 리모델링보다는 재건축을 선택할 확률이 높게 나타났다. 5년, 10년 후에는 분양가상한제 적용 시 리모델링을, 미적용 시 재건축을 선택할 확률이 높게 나타났다. 조건 5는 현재, 5년, 10년 후 어느 시점에 사업을 하든지 상관없이 분양가상한제에 별 영향을 받지 않고 모두 재건축을 선택할 확률이 높게 나타났다. 따라서, 리모델링 완화의 정책도 필요하지만 어느 한쪽에만 편중된 정책보다는 재건축규제의 완화도 필요한 시점이다.
본 연구에서는 재건축과 리모델링 사업방식에 대한 결정요소로 대중교통과의 접근성, 공동주택의 현관구조(계단식·복도식), 주차장·공용면적 등은 반영하지 못하였다. 또한, 사업방식에 대한 결정은 강남구뿐만 아니라 서울시 전역, 제1기 신도시 등으로 확산되는 추세이며 현안과제이기도 하다. 그러나 대상지역을 강남구로 한정하여 분석한 결과를 가지고 전체 노후공동주택시장을 논하기에는 한계가 있다. 이는 추후 계속적인 연구를 통하여 보완할 예정이다.
Acknowledgments
본 논문은 2013년 10월 대한국토·도시계획학회 추계학술대회에서 발표한 논문을 수정·보완한 것임.
본 논문은 2013년도 정부(교육과학기술부)의 재원으로 한국연구재단 중견연구자지원사업(No. 2011-0028094)의 지원을 받아 수행되었음. This work(No.2011-0028094) was supported by Mid-career Researcher Program through NRF grant funded by the MEST.
본 논문은 2013년 한양대학교 일반연구비 지원으로 연구되었음(HY-2013-G). This work was supported by the research fund of Hanyang University(HY-2013-G).
Notes
주2.서광채(2010)는 ‘재건축과 리모델링의 사업선택에 있어 핵심결정요인 분석에 관한 연구’에서 리모델링 공사비를 재건축 공사비의 60%를 기준으로 수익성을 분석하였다.
주3.주택법 제42조의2제2항에서 택지 매입가격의 범위 「부동산 가격공시 및 감정평가에 관한 법률」에 따라 감정평가한 가액의 100분의 120에 상당하는 금액 또는 개별공시지가의 l00분의 150에 상당하는 금액 이내라고 규정하고 있다.
주4.김현아(2008)의 연구에 의하면 주택 교체시기는 첫 구매주택에서 평균 5년 이상 거주 후 도래하는 것으로 제시하고 있다. 이에 근거하여 신축 후 5년정도 거주하고 이주함으로써 5년이내 신축주택은 가치가 비슷할 것으로 예상하여 비교하였음.
주5.일반분양 증감은 리모델링 공사비를 빼고 일반분양 면적에 대한 수익을 더한 값으로 계산한다.
주6.재건축사업의 수익은 기존용적률과 정비계획에서 정한 용적률과의 차이에서 발생하는 이익이 1차적인 개발 이익이다. 재건축의 계획용적률이 크고 기존 용적률이 작을수록 재건축의 사업성이 높아짐을 알 수 있으며 결국에는 제1종 일반주거지역에 비해 제3종 일반주거지역에서 재건축의 수익성이 높음을 의미한다((최상희, 2007).
주7.분양가격은 주택건설사업의 내·외부 요인과 주변시세 및 미래시세는 물론 가수요를 감안한 시장거래가격과 인근지역의 선행 분양가수준에서 분양가격이 결정되고 있다(안균오·변창흠,2006).
주8.재건축 관련 규제 강화에 따라 수익구조를 결정짓는 규모 확대의 범위는 기존 주택 면적의 증가분과 개발에 따른 이익환수분으로 나뉘어 사용되게 되며 개발이익환수분이 커질수록 기존 주택 증가분이 축소되게 되며 기존 주택증가분이 0이 되는 경우 1:1 재건축이나 리모델링으로 전환을 고려하게 된다(최상희, 2007).
주9.류제문 외2(2012) 연구에서 분양가상한제 적용아파트 대비 미적용아파트의 분양가는 약25~ 30%정도 높게 나타난 사례를 근거로 하여 가정함.
주10.이상경,2003; 이용만·이상한,2004; 김경민, 2007 등 선행된 연구들에 의하면 과거의 주택시장은 강남지역 아파트가 주택가격 상승을 주도하였고, 서울 강남지역의 주택가격이 수도권의 주택가격에 영향을 미치고 이는 지방주택시장으로까지 파급효과가 전해진다는 연구를 근거로 하였다.
주11.표. 주택매매가격 연평균상승률 단위: %
주12. 표. 기본형건축비와 건축비 가산비용
주13. KDI 실물자산연구팀, 2013, 부동산시장 동향분석 2013년 2/4분기, 「KDI 」, 제3권제2호, p.6.
주14. 강남구 대치동 우성2차아파트(2014년 2월 준공)는 용적률이 237.84%→346.94%로 109.29% 증가하였으며 ,청담동 두산아파트(2014년1월 준공)는 258.35%→370.71%로 112.36% 증가, 청담동 청구아파트(2014년 2월 준공)는 303.83%→424.55%로 120.72% 증가하였다.
References
-
고재풍, 이민권, 유선종, (2007), “일대일 재건축과 리모델링 사업결정방식에 관한 사례 연구”, 「국토연구」, 55, p253-270.
Ko, J-P, Lee, M-K, Yoo, S-J, (2007), “A Case Study on the Choice of One to One Reconstruction or Remodeling”, The Korea Spatial Planning Review, 55, p253-270. -
권영덕, (2011), 저성장시대에 대응한 노후아파트 관리방안-민간아파트 리모델링의 추진실태와 개선방안, 서울, 서울연구원.
Kweon, Y-D, (2011), Management Guidelines of Old Apartment Sites in the Age of Slow Growth - Realities and Improvement Guidelines on Remodeling Progress of Private Apartment Sites, Seoul, The Seoul Institute. -
권영덕, 김선웅, (2012), 아파트 리모델링 활성화 정책변화에 따른 서울시 정책방향, 서울, 서울연구원.
Kweon, Y-D, Kim, S-W, (2012), Policy Guidelines of Seoul on Promoting Apartment Remodeling due to the Recent Policy Changes, Seoul, The Seoul Institute, (2012). -
김갑성, 임승호, 이상미, (2008), “재건축과 리모델링의 사업성 비교분석”, 「지역연구」, 24(1), p137-155.
Kim, K-S, Lim, S-H, Lee, S-M, (2008), “A comparative analysis of feasibility between reconstruction and remodeling”, Korea Regional Science Association, 24(1), p137-155. -
김경수, 장욱, (2003), “정상 마르코프 연쇄모형에 의한 부산권 인구분포예측 연구”, 「국토계획」, 38(4), p33-46.
Kim, K-S, Jang, W, (2003), “Prediction of the Change in Population Distribution Using Stationary Markov Chain Model in the Busan Metroplitan Area”, Journal of Korea Planners Association, 38(4), p33-46. -
김현아, (2008), “주택구매 패턴으로 본 수도권 주택 수요특성 분석”, 「건설저널」, 5, p2-26.
Kim, H-A, (2008), “The analysis of housing demand characteristics in cosmopolitan area seen from purchasing pattern”, The Construction Business Journal, 5, p2-26. -
류강민, 이창무, (2010), “몬테카를로 시뮬레이션을 이용한 PF사업 공모지침서 평가배점에 관한 연구”, 「부동산학연구」, 16(4), p97-114.
Ryu, K-M, Lee, K-M, (2010), “Allocating Evaluation of Subscription Guide in Open Competition PF Using Monte Carlo Simulation”, Journal of the Korea Real Estate Analysts Association, 16(4), p97-114. -
류제문, 심재헌, 이성호, (2012), “분양가 상한제 적용여부에 따른 아파트 분양가 비교분석”, 「한국산학기술학회 논문지」, 13(8), p3747-3756.
Ryu, J-M, Sim, J-H, Lee, S-H, (2012), “A Case Study on the Effect of Price Ceiling Regulation on the New Apartment Price”, Journal of the Korea Academia-Industrial cooperation Society, 13(8), p3747-3756. -
서광채, (2010), “재건축과 리모델링의 사업선택에 있어 핵심 결정요인 분석에 관한 연구”, 「KREUS Best Practics Series」, 10(1), p1-25.
Seo, K-C, (2010), “Study on key determinants in selection between reconstruction projects and re-modeling projects”, KREUS Best Practics Series, 10(1), p1-25. -
설유진, 정성봉, 송기한, 전경수, 이성모, (2008), “몬테카를로 시뮬레이션을 통한 AHP결과 해석모형개발”, 「대한교통학회지」, 26(4), p1229-1336.
Seol, Y-J, Jung, S-B, Song, K-H, Jeon, K-S, Lee, S-M., (2008), “Evaluation Model of AHP Results Using Monte Carlo Simulation”, Journal of Korean Society of Transportation, 26(4), p1229-1336. -
손동필, (2011), 주택시장 변화에 따른 공동주택 리모델링의 가능성 분석, 인천, 인천발전연구원.
Son, D-P, (2011), The feasibility study of apartment remodeling in the change of housing market, Incheon, Incheon Development Institute. -
안균오, 변창흠, (2006), “아파트 분양원가의 검증가능성 제고방안”, 「국토연구」, 51, p169-190.
Ahn, K-O, Byun, C-H, (2006), “Improving Assessment Methods for New Apartment Sales Price”, The Korea Spatial Planning Review, 51, p169-190. -
오동훈, 권영섭, (2008), “공동주택 리모델링 활성화를 위한 개선방안”, 「주택연구」, 16(3), p27-46.
O, D-H, Keon, Y-S, (2008), “A Study on the Improvement Scheme for Vitalizing Apartment Remodelling”, Housing Studies Review, 16(3), p27-46. -
우철민, 심교언, (2012), “분양가 상한제의 실효성에 대한 실증분석”, Working paper series, 20(3), p1-11.
Woo, C-M, Shim, K-E, (2012), “Empirical Study on Effectiveness of Price Ceiling System”, Working paper series, 20(3), p1-11. -
윤영선, 이승우, (2012), 공동주택 리모델링 활성화를 위한 정책 방안, 서울, 건설기술연구원.
Yoon, Y-S, Lee, S-W, (2012), Policy measures for the vitalizing of apartment remodelling, Seoul, The Construction Business Journal. -
윤정규, 외 , (2012), 알기 쉬운 국토연구방법론, 경기, 국토연구원.
Yoon, J-K., etc , (2012), Research methods for spatial analysis, Gyeonggi, KRIHS. -
이근광, (2014), “공동주택 수직증축 리모델링과 재건축의 사업성 비교에 관한 연구”, 서경대학교 석사학위논문.
Lee, K-G, (2014), “A Study on the Comparison of Feasibility between Vertical Extension and Reconstruction Business of Apartments”, Master’s Degree Dissertation, SeoKyeong University. -
이용만, 배순석, (2007), “유지보수, 리모델링, 재건축의 의사결정에 관한 미시적 분석”, 「국토연구」, 55, p217-238.
Lee, Y-M, Bae, S-S, (2007), “Micro-Economic Analysis on the Optimal Maintenance, and the Optimal Choice between Remodeling and Redevelopment of an Old House”, The Korea Spatial Planning Review, 55, p217-238. -
장윤배, 이성룡, 채명진, (2011), 제1기 신도시의 도시재생과 관리방안 연구, 경기, 경기개발연구원.
Jang, Y-B, Lee, S-R, Chae, M-J, (2011), A Study on the Urban Regeneration and Management Methods for the 1st Planned Newtowns in Cyeonggi-Dc, Gyeonggi, Gyeonggi Research Institute. -
정정일, (2007), “공동주택의 리모델링 활성화를 위한 제도 및 관련 법규의 개선방안”, 「법조」, 56(8), p262-294.
Jung, J-I, (2007), “ Measures to Improve Related Institutions and Laws for the Activation of Remodeling of Multiple Housing”, Korean Lawyers Association, 56(8), p262-294. -
최상희, (2007), “서울시 노후 공동주택 재건축 및 리모델링 결정모형 연구”, 「부동산연구」, 1, p155-182.
Choi, S-H, (2007), “Decision Model for Remodeling and Renovation Method of Decayed Multy-Family Housing”, Journal of Korea Real Estate Research, 1, p155-182. -
한국토지주택공사, (2010), 공동주택 리모델링 세대증축 등의 타당성 연구, 국토교통부.
LH, (2010), “Feasibility study of remodelling or extension work etc. of apartment”, Ministry of Land, Infrastructure and Transpor. -
한주연, 신동우, (2012), “노후공동주택 리모델링의 사업성 확보를 위한 수직증축 제안”, 「한국건설관리학회지」, 13(3), p152-159.
Han, J-Y, Shin, D-W, (2012), A Study on the Story Increase for Securing the Feasibility of Aged-Housing Remodeling, Journal of KJCEM, 13(3), p152-159. -
한혁수, 김초희, (2010), “소프트웨어 프로젝트 의사결정 지원을 위한 몬테카를로 시뮬레이션의 활용”, 「한국IT서비스학회지」, 9(4), p123-133.
Han, H-S, Kim, C-H, (2010), Applying Monte Carlo Simulation for Supporting Decision Makings in Software Projects, Journal of Korea Society of IT Services, 9(4), p123-133. -
KDI 실물자산연구팀, (2013), “부동산시장 동향분석 2013년 2/4분기”, 한국개발연구원.
KDI, (2013), “2013 Real Estate Market Trend Analysis 2/4 branch”, Korea Development Institute. - https://www.kbstar.com/.
- http://www.r114.com/.
- http://land.seoul.go.kr/land/.



