
Final publication date 26 Jan 2021
서울시 교통체증이 미세먼지 농도에 미치는 영향 : 빅데이터를 활용하여
Abstract
Particulate matter negatively affects personal health and daily living; hence, it has become a popular topic in academia. Transportation-related variables have thus far not been extensively explored, even though various factors associated with particulate matter have been investigated. In particular, the amount of particulate matter emitted from vehicles depends on the speed of travel, which can be adversely affected by traffic congestion. Hence, we aim to examine the causal relationships between concentrations of particulate as well as ultrafine particulate matter and traffic congestion. To investigate the effects of traffic congestion on concentration of particulate matter, we used big data regarding various urban parameters, such as travel speed, air pollution, and climatological data, by employing fixed-effects panel data analysis models. We use the real-time congestion index (RCI) to calculate traffic congestion, in addition to precipitation, wind speed, wind direction, and temperature as the control variables. The main findings from the panel models are as follows: First, traffic congestion is directly related to the concentrations of particulate and ultrafine particulate matter. In particular, an increase in one unit of RCI increases the concentration of the particulate matter by 3.3 μg/m3 and ultrafine particulate matter by 1.7 μg/m3, after accounting for other factors. Second, the impact of traffic congestion is greater when the concentration of particulate matter is less than 30 μg/mm (also called the “good condition“ of PM10) and that of ultrafine particulate matter is above 35 μg/mm. (called the “bad condition” of PM2.5). Third, the effects of traffic congestion on particulate matter are greater during non-rush hours than during rush hours. This is probably because of the greater number of vehicles on the roads during non-rush hours, such as older/obsolete vehicles, trucks, and diesel-powered vehicles, which are likely to emit more pollutants. Our results suggest that alleviating traffic congestion in addition to existing air pollution policies could improve air quality, even though such effects may not be substantial.
Keywords:
Traffic Congestion, Particulate Matter, Panel Model, Big Data키워드:
교통체증지수, 미세먼지, 패널모형, 빅데이터Ⅰ. 서 론
미세먼지에 대한 국민적 관심이 큰 가운데 2019년 3월 최초로 미세먼지 저감조치가 5일 연속으로 발령·시행되는 등 국내 대기질은 나아질 기미를 보이지 않고 있다. 정부는 미세먼지 농도 감축을 위해 「대기 환경관리 기본계획」을 수립하고, 관련 예산(약 3조 원)의 94%를 주요 오염원인 도로·비도로 이동오염원 관리에 투입하고 있다. 서울시는 지방자치단체 최초로 이른바 서울형 비상저감조치 발령체계를 구축해 차량 2부제와 조업단축 등 오염물질 배출 규제정책과 함께 대중교통 무료화와 같이 시민참여를 이끌 수 있는 유인책을 시도하는 등 대기질 개선에 다양한 노력을 기울이고 있다.
서울시의 연평균 미세먼지(PM10) 농도는 2003년 59μg/m3에서 2012년 41μg/m3로 10년 동안 31% 개선되었으나, 이후 미세먼지 농도의 감소세가 둔화되더니 2016년 연평균 미세먼지 농도가 48μg/m3로 다시 상승하였으며, 고농도 미세먼지 발생 빈도와 미세먼지 경보 발령 일수 등 관련 지표가 악화되면서 서울의 대기질 개선은 답보상태이다. 또한, 서울시민을 대상으로 서울 대기질에 대한 인식을 조사한 결과 대기질이 ‘심각하다’고 응답한 비율이 2011년 68.3%에서 2015년 75.8%로 높아져 미세먼지 대책의 실효성에 의문이 제기되는 실정이다(김혜원·이정욱, 2019).
미세먼지 문제는 오염원의 관리만으로 해결되기 어려운 특성이 있다. 기존의 미세먼지 대책은 미세먼지 배출량 자체를 줄이는 방식에 주력해왔으며, 학계에서도 오염원을 구분해내는 한편, 대기오염물질 발생량을 정밀하게 추정해 오염원 관리에 따른 개선되는 대기질을 추계하는 연구들이 주류를 이루었다. 그러나 최근 미세먼지 관련 연구는 지역의 기상(기온·습도·풍속·풍향 등) 상태에 따라 미세먼지 농도가 달라지며, 공원·녹지와 같은 도시기반시설의 양과 질에 따라 미세먼지 농도에 지역적 차이가 발생하는 등 미세먼지 농도와 지역 및 공간 특성 간 관계를 규명하는 연구가 시도되고 있다(정종철·이상훈, 2018). 이와 같은 연구추세는 미세먼지 문제에 대한 실마리가 미시적인 수준에서의 도시특성과 관련이 높아짐을 의미한다.
미세먼지 농도를 악화시키는 원인은 당해지역 또는 인접지역의 화력발전소나 생산·제조시설에서 배출되는 유해물질이 가장 일반적이며, 최근에는 인접국가에서 발원해 국내에 영향을 주는 월경성 대기오염물질도 주원인으로 꼽힌다. 또한, 자동차의 배기가스 역시 대기오염을 유발하는 주요 원인 중 하나로 인식된다(이금숙, 2008). 서울시를 비롯한 세계 여러 도시는 자동차 배기가스와 같은 도로이동오염원 배출을 관리하기 위해 대중교통 이용을 장려하는 정책을 펴왔다. 특히, 서울시는 미세먼지 저감조치 발령 시 버스와 지하철 요금을 무료화하는 등 교통수요를 관리함으로써 미세먼지 농도를 개선하는 노력을 기울여 왔다. 하지만, 자동차 이용의 감소가 구체적으로 얼마만큼의 미세먼지 농도 저감효과로 이어지는지, 반대로 자동차 이용이 증가함에 따라 교통체증(Traffic Congestion)이 발생하면 실제 대기질에 어떠한 영향을 미치는지를 규명한 연구는 다소 미흡했다.
일반적으로 이산화질소(NO2)는 배출오염원과의 거리가 멀어질수록 급격히 감소하는 특성을 지닌 반면, 미세먼지(PM10)와 초미세먼지(PM2.5)는 배출된 지역에 오랫동안 머물러 있기 때문에 고층빌딩이 밀집해 있는 도시지역에서는 배출지역을 중심으로 ‘도로 협곡(Street Canyons)’을 형성하는 등 배출인접지역에 더 큰 피해를 줄 수 있다(Weber et al., 2006; Zwack et al., 2011). 따라서 서울시와 같이 고밀로 개발된 대도시에서는 미세먼지 농도가 지역별로 서로 다른 양상을 보일 수밖에 없다. 또한, 서울시처럼 교통체증이 빈번하고, 심각한 도시에서는 자동차의 통행량과 교통체증 발생이 지역별·시간별로 다르게 나타나기 때문에 미세먼지 농도가 다르게 분포할 수밖에 없다. 따라서 교통체증과 미세먼지 농도 사이의 관계를 규명하는 것은 다양한 미세먼지 농도 영향요인을 이해하고, 정책적인 대응방안을 모색하는 데 필수적이라 할 수 있다.
이에 본 연구는 서울시를 대상으로 주요 대기 오염물질로 인식되는 교통(자동차)오염원과 미세먼지 농도 간 관계를 규명하고자 한다. 이를 위해, 도시공간빅데이터를 활용해 다양한 도시특성요소를 종합적으로 고려한 상태에서 실시간 교통체증 변화가 미세먼지 및 초미세먼지 농도변화에 미치는 영향력을 분석하고자 한다. 특히, 고농도와 저농도 미세먼지·초미세먼지 발생시기 및 통근시간과 비통근시간 등 시간적 요인을 세밀하게 구분하여 교통체증과의 관계를 정밀하게 분석하고자 한다. 일반적으로, 미세먼지 농도와 교통체증은 모두 단기간에 복잡하게 국지적으로 변화하는 특성을 보인다. 따라서 이 둘의 관계를 보다 정밀하게 규명하기 위해서는 시공간적인 효과를 적절히 제어할 수 있는 계량분석모형인 패널모형이 필요하다. 본 연구는 패널모형 중에서도 시공간효과를 통제할 수 있는 고정효과 모형을 활용하여, 교통체증이 미세먼지 농도 증감에 어떠한 영향을 주는지를 실증적으로 검증하고자 한다. 본 연구를 통해 나타난 결과는 미세먼지와 관련한 정책수립에 다양한 시사점을 제공할 것으로 기대되며, 미세먼지저감정책 수립을 위한 기초자료로 활용될 것으로 여겨진다.
Ⅱ. 미세먼지와 교통체증 선행연구 검토
1. 대기오염과 교통체증의 관계
도시지역에서 교통량의 증가는 대기질을 악화시키는 주요 원인 중 하나이며, 교통량과 미세먼지 농도 사이에는 밀접한 관계가 있다(Chin, 1996). 일반적으로 교통량이 증가하면 대기오염물질 배출량이 증가하고 거주민의 건강악화에 직접적인 영향을 미치기 때문에 이미 오래전부터 해외 여러 나라는 대기질을 개선하기 위한 대기환경정책의 일환으로 교통계획을 연계하고 있다(김운수 외, 1999).
교통과 미세먼지 농도 사이의 관계는 산업화 및 도시화와 밀접한 관련이 있다. 산업화 과정에서 지방 중소도시 및 농촌 지역 인구가 산업이 고차원화된 도시로 유입되고, 도시의 경제 규모가 팽창함에 따라 자가용 보급이 보편화되면서 교통관련 인프라의 수요와 환경부하가 동시에 증가한다. 이 과정에서 도시 수용력을 넘어서는 교통량 증가는 곧 교통체증문제로 이어지고, 다량의 대기오염물질에 의한 환경 및 보건문제를 유발한다. 때문에 교통량 자체를 줄이는 것이 곧 미세먼지 발생량을 줄여 대기질을 개선할 수 있다고 인식되는 것이 일반적이다. 예를 들어, 영국은 도심으로 유입되는 교통 수요를 억제하고자 도심으로 진입하는 차량에 CCS(London Congestion Charging Scheme, 혼잡부담금제도)를 부과해 주간 시간 도심 내 교통량을 15% 감소시켰다. 이에 따라, 통행속도는 최대 20%가 회복되었고, 질소산화물(NOx)과 미세먼지(PM10) 배출량이 15.9% 감소한 것으로 보고되었다(Beevers and Carslaw, 2005). 이 밖에도, 내연기관을 기술적으로 보완하거나 배출된 미세먼지를 발생원으로부터 즉각 처리할 수 있는 장치를 개발하여 대기질을 개선해 나가고 있다.
최근 들어 교통량 이외에도 미세먼지 등의 대기오염물질 배출량이 도로나 차량 특성, 운전자의 운전습관 등 다양한 인자의 영향을 받는다는 연구가 속속 진행되고 있다(Etyemezian, 2003; Keuken et al., 2010; Papson et al., 2012; Gastaldi et al., 2014). 특히 교통흐름과 관련한 연구가 진행되면서 미세먼지 관리방안이 다양화되어 가고 있다. 일반적으로 차량이 교차로에 근접할수록 신호체계에 의해 교통흐름이 정체되거나 중단될 가능성이 높아진다. 교통흐름이 중단된 차량은 이동이 없는 상태에서도 연료를 소모해야하기 때문에 에너지 사용 효율성이 떨어진다. 뿐만 아니라, 동일한 지점에서 더 많은 대기오염물질을 배출하게 되며, 특히, 차량의 동력이 유지된 상태에서 이동이 완전 정지하는 이른바 “공회전”이 발생하면서, 정상주행보다 미세먼지 배출량이 상승한다(Papson et al., 2012). 실제로 교통흐름이 중단되지 않는 원형교차로(Roundabout)1)가 설치된 경우 일반 교차로에 비해 통행시간이 20% 단축되고, 질소산화물 배출량은 5%, 미세먼지 배출량은 2% 저감된 것으로 나타났다(Gastaldi et al., 2014).
교통흐름이 원활한 곳에서의 대기오염물질 배출량이 상대적으로 적은 이유는 화석연료의 연소특성이 작용했기 때문이다. 미세먼지는 불완전연소가 발생하는 저속(40km/h)주행과 공회전시 많이 배출되는 반면, 질소산화물은 100km/h 이상의 고속주행 시 많이 배출되는 특성이 있다(Etyemezian, 2003; Keuken et al., 2010). 네덜란드에서는 2005년 대기질 개선을 목적으로 로테르담-암스테르담 도심과 연결된 고속도로에 80km/h의 구간단속 정책을 폄에 따라 미세먼지는 5~20%, 질소산화물은 20~30% 감축하는 효과가 있는 것으로 보고되었다(Keuken et al., 2010).
2. 미세먼지와 기상여건의 관계
미세먼지는 다른 입자상 물질에 비해 장거리 이동이 많이 관측되는 특징이 있어, 인접한 지역으로부터의 영향을 받으며, 우리나라의 경우 중국이나 몽골에서 발원한 월경성 오염원의 영향을 받는다. 또한, 미세먼지 농도는 계절 및 기상상태와 밀접한 관계가 있다. 이러한 영향의 대표적인 사례는 국내에서 봄철에 발생하는 황사현상이며, 황사의 영향력을 제외하더라도 봄과 겨울철에 발생하는 고농도 미세먼지 현상은 대기가 안정화되는 기상여건의 영향이라고 볼 수 있다(최태영 외, 2018).
계절적 영향이 발생하는 근본적인 원인은 기온이 증가하는 여름철에는 상대적으로 대기의 대류활동이 활발하기 때문이며, 기온이 감소하는 겨울철에는 가정 난방으로 인한 대기오염물질 배출이 집중되기 때문이다(Unal et al., 2011). 또한, 강우(Rainfall)발생 시 대기 중 미세먼지를 포함한 오염물질의 농도가 낮아지는 현상이 관측되는데, 신문기 외(2007)는 80% 이상의 습도에서 미세먼지 농도가 낮아지는 현상을 “세정효과(Wash-out Effect)” 때문이라고 하였으며, 다른 기상상태의 변화보다도 강우 발생이 가장 크게 미세먼지 농도를 낮추는 요인임을 강조하였다. 풍속이 강할 경우에도 대기오염물질의 수평적 위치이동이 급격하게 일어나 대기질이 개선될 개연성이 크다.
터키를 사례로 기압 및 풍속과 미세먼지 농도의 관계를 규명한 연구에서는 1,018hPa 이상의 고기압일 때 대기가 안정화되고, 풍속이 낮아질 때 미세먼지의 농도가 높아지는 현상이 발생하는 것으로 분석되었다(Unal et al., 2011). 그러나 풍속이 미세먼지 농도를 일관되게 낮추는 것은 아니라는 의견도 있다(Giri et al., 2008). 풍속이 증가하면, 당해 지역에 정체 중인 대기오염물질이 외부로 이동될 수 있지만, 반대로 인접지역이나 접경지역에서 발원한 대기오염물질의 유입이 일어나 오히려 미세먼지 및 초미세먼지 농도가 일시 증가할 수 있다(Giri et al., 2008).
국내를 대상으로 한 연구에서는 서울시의 연간 미세먼지 농도변화에 강수량, 기온, 풍속이 통계적으로 유의한 수준에서 부(-)의 영향력을 주는 것으로 분석되었다(박충선, 2017). 즉, 기상여건의 변화는 국내 미세먼지 농도를 변화시키는 요인이라고 할 수 있다. 이와 같은 연구결과는 초미세먼지 농도의 결정인자를 도출하는 연구에서도 유사하게 나타났는데, 습도, 풍속, 풍향, 강수량, 기온이 통계적으로 유의미한 수준에서 초미세먼지 농도를 변화시키는 것으로 나타났다(이종현 외, 2017).
3. 선행연구와의 차별성
선행연구를 검토한 결과, 미세먼지와 교통체증과의 관계를 규명한 연구는 특정 사례지역을 대상으로 하는 경우가 많았으며, 대기질과 교통요인 사이의 관계를 규명하는 연구는 거의 진행되지 못했다. 또한, 관련된 몇몇의 연구는 대기질을 미세먼지의 농도로 직접 평가하지 않고, 오염원으로부터 배출되는 오염물질의 총량을 배출계수로 산출해 분석에 활용한다는 공통점이 있다. 보통 대기질을 평가할 수 있는 기준은 대기오염물질 배출량 정보와 농도정보가 있는데, 배출량 정보는 산출하는 방법이 간단하고 정보에 영향을 미치는 인자가 많지 않은 장점이 있지만, 실측값이 아닌 추계값이기 때문에 실제 대기질과 괴리가 있을 가능성이 있다. 반면, 농도정보는 대기 중 오염물질의 비율을 실측한 값으로 배출량 정보와는 큰 차이가 있는데, 실시간 변화하는 농도정보를 즉각적이고 연속적으로 평가하기에 더 적합하다고 할 수 있다.2) 정리하자면, 교통요인과 미세먼지와의 관계에 대한 연구는 미세먼지 발생량보다 농도변화가 적합하다.
또한, 앞에서도 설명했듯이, 교통체증은 교통량과 대기오염물질 배출량에 모두 영향을 주는 요인이며, 미세먼지 농도에도 영향을 주는 요인 중 하나이다. 따라서 교통체증의 정도를 파악하고, 이러한 교통체증이 미세먼지 농도 증가에 어떠한 영향을 주는지를 분석하는 연구는 매우 필요하다. 일반적으로, 교통체증과 미세먼지는 특정 장소, 특정 시간대에 따라 크게 다르다는 특징을 갖는다. 따라서 이 둘의 관계를 파악하기 위해서는 장소별, 시간대별 변화를 동태적(Dynamics)으로 관찰할 필요가 있다. 뿐만 아니라, 교통요인과 미세먼지와의 관계를 규명하기 위해서는 미세먼지 농도에 영향을 주는 기온, 강수량, 풍속, 기압 등 다양한 기상상태의 영향력을 종합적으로 고려하여야만 교통체증으로 인한 미세먼지 농도 변화의 영향력을 명확하게 분별해 낼 수 있다. 따라서 교통체증과 미세먼지의 관계를 연구함에 있어서는 시공간을 통제한 패널모형이 필요하며, 최근 개방되고 있는 미세먼지, 교통속도, 기상 빅데이터 등을 활용하면 더욱 미시적인 수준에서의 연구가 될 수 있다. 이에 본 연구는 이와 같은 점들을 고려해 교통체증이 미세먼지에 미치는 영향력을 실증적으로 검증하고자 한다.
Ⅲ. 연구자료 및 분석방법
1. 연구자료
교통체증과 미세먼지 및 초미세먼지 농도변화 사이의 인과성을 실증적으로 분석하기 위해서 본 연구는 서울특별시 교통정보센터에서 제공하는 「2017년 서울시 차량통행속도」를 활용해 자치구별 교통체증지수를 산출하였으며, 한국환경공단에서 제공하는 「2017년 대기오염측정자료」를 활용해 서울시 미세먼지 및 초미세먼지 농도 데이터를, 기상청 국가기후데이터센터에서 제공하는 「2017년 기상자료」를 활용해 서울시 기온·강수량·풍속·풍향 데이터 등 분석데이터를 구축하였다.
「서울시 차량통행속도」는 서울시 소재 485개 도로별3) 통행 속도정보(Transit Speed Data)를 365일 24시간(매시간) 수집하여 매월 보고·발표되는 통계자료이다. 속도정보는 도로의 종류별로 수집방법을 달리하는데 도시고속도로는 영상·루프 감지기, 단거리전용통신기 등 총 1,153대 검지기를 활용해 속도정보를 수집하고, 도시고속도로 이외 도로는 서울시 영업 택시 약 7만 대의 차량위치정보를 활용해 5분 단위로 속도정보를 수집하며, 도로 링크(Link)의 매시간 속도정보를 생산한다. 따라서 자료의 양이 방대하고, 미시적 시공간 단위 분석이 가능하다. 본 연구에서는 2017년 한 해 동안 서울시 소재 10,505개 링크에서 생산된 91,822,080건에 속도정보를 분석에 활용하였다.
교통체증을 산정하는 방법은 다양하지만 본 연구에서는 서울시 자치구별 교통체증지수를 산출하기 위해 다음과 같은 가공과정을 거쳤다. 우선적으로, 「서울시 차량통행속도」데이터에는 속도정보뿐만이 아니라 GIS자료와 결합할 수 있는 도로 링크 ID를 제공하고 있기 때문에, 국가표준 자료인 ‘표준링크’4) 자료와 결합하여 공간자료로 변환하는 과정을 거쳤다. 또한, 「서울시 차량통행속도」는 자료 생산과정에서 일부 도로 링크를 통합·축소하는 과정을 거쳤기 때문에 표준링크와 1:1 매칭이 되도록 보정하였다. 마지막으로 링크별 제한속도 및 연장의 규모가 상이해 속도정보 자체를 비교할 수 없는 문제가 있어 이를 교통체증지수로 표준화하는 과정을 거쳤다.
교통체증의 정의는 다양하지만, 일반적으로는 교통체증은 여러 원인에 의해 차량의 흐름이 자유흐름(Free Flow)에 미치지 못하는 지·정체 현상을 의미한다(복기찬 외, 2009). 교통체증을 측정하기 위한 다양한 지표체계 중 본 연구에서는 최기주 외(2004)의 연구에서 소개된 지표체계인 교통체증지수(Real-time free-way Congestion Index, RCI)를 활용하였다. 이 교통체증지수는 교통량에 관한 정보가 없어도 통행속도만을 이용해 도로의 체증상태를 평가할 수 있으며, 고속도로와 교차로 등 다양한 도로 형태에 모두 적용 가능할 뿐만 아니라, 지수의 산정·판정·해석이 용이한 장점이 있다. 따라서 본 연구에서는 RCI를 교통체증 지수로 활용하였으며, 구체적인 교통체증지수 산출방법은 아래의 식 (1)과 같다.
교통체증지수(RCI)는 도로(링크)의 실제 통행시간 대비 제한속도의 80% 속도일 때 통행소요시간(이하 통행소요시간) 비율을 의미하며, 도로의 교통체증상태를 판단하는 준거로 활용될 수 있다. 예를 들어, 산출된 RCI 값이 1일 경우 해당 도로의 실제 통행시간이 제한속도의 80% 수준의 속도로 통행했을 때의 소요시간과 동일하다. RCI 값이 1보다 작으면, 통행소요시간보다 실제 통행시간이 빨라 교통이 원활한 상태로 판정할 수 있으며, RCI 값이 1보다 크면, 통행소요시간보다 실제 통행시간이 오래 걸려 교통체증이 발생한 것으로 판단할 수 있다.
본 연구의 공간분석 단위는 서울시 25개 자치구이며, 시간분석 단위는 매시간(hour)이다. 도로별로 연장과 제한속도가 상이하기 때문에 단순한 산술평균 방식을 취할 경우 해당 자치구의 교통체증상태에 왜곡이 발생할 수 있다. 따라서 자치구별 교통체증지수는 식 (2)와 같이 도로의 연장을 고려하여 산출하였다.
| (1) |
rcii: i번째 링크의 교통체증지수
LTTi: i번째 링크의 통행소요시간
Di: i번째 링크의 연장(m)
CSi: i번째 링크의 제한속도에 80%속도
| (2) |
RCIi: i번째 자치구의 교통체증지수
rcii: i번째 링크의 교통체증지수
Di: i번째 링크의 연장(m)
최종적으로 2017년 서울시 자치구별 교통체증지수를 시점별(365일 매시간)로 산출한 결과 총 219,000개의 데이터 관측치 (365일×24시간×25개 자치구)가 구축되었다.
「대기오염측정자료」는 한국환경공단에서 제공하는 대기오염물질 실시간 농도 측정자료로 연간 24시간 전국 451개 측정소에서 이산화황(SO2), 일산화탄소(CO), 오존(O3), 이산화질소(NO2) 미세먼지(PM10) 및 초미세먼지(PM2.5) 농도정보를 수집해 국가대기오염정보관리시스템으로 전송하여 에어코리아(Air Korea) 웹사이트를 통해 매시간 단위로 제공한다. 서울특별시 소재 측정소는 총 39개소로 자치구당 1개소의 ‘도시대기측정소’와 주요 간선도로에 ‘도로변대기측정소’ 14개소를 운영하고 있다.
본 연구에서는 2017년의 연간 시점별(365일 매시간) 미세먼지 및 초미세먼지 농도 데이터를 「대기오염측정자료」를 통해 구축하였다. 「대기오염측정자료」는 이상자료를 2차에 걸쳐 선별하는데,5) 이 과정에서 이상치는 ‘-999’값으로 전환되므로 해당 값들을 제외하였다.
특정 지역의 미세먼지 및 초미세먼지 농도를 산출하기 위해서는 보간법(Interpolation)으로 미계측 지점의 농도를 추정하는 과정을 거치는 것이 일반적이지만, 본 연구의 분석단위는 자치구이기 때문에 각 자치구에 소재한 대기 측정소와 도로변대기측정소에서 측정된 데이터 평균값을 분석에 활용하였다. 따라서 25개 자치구의 시간대별 평균 미세먼지 및 초미세먼지 농도 데이터를 구축하였으며, 결측값을 제외하면 2017년 미세먼지 농도자료는 216,888건, 초미세먼지 농도자료는 212,815건이 구축되었다. 구축된 미세먼지 및 초미세먼지 농도데이터는 공간적 분석단위인 자치구와 시간적 분석단위인 매시간(hour)을 기준으로 교통체증지수 데이터와 매칭(Matching)시켰다.
「기상정보」는 기상청 기상자료개방포털에서 제공하며 자동기상관측장비(Automatic Weather System, AWS)와 종관기상관측장비(Automated Synoptic Observing System, ASOS)에 의해 기온·강수량·풍속·풍향 등의 정보를 연간 24시간 측정·수집하여 발표한다. 전국적으로 510개 관측소를 가동하고 있으며, 서울시에는 28개 관측소가 위치한다. 본 연구에서는 2017년의 연간 시점별(365일 매시간) 기온·강수량·풍속 데이터를 「기상정보」자료를 활용해 구축하였으며, 서울시 미세먼지 및 초미세먼지 농도와 동일하게 자치구 소재 AWS 및 ASOS 관측소에서 측정된 데이터 평균값을 분석에 활용하였다.
최종적으로 교통체증지수, 미세먼지 및 초미세먼지 농도와 마찬가지로 시점별 25개 자치구의 평균 기온·강수량·풍속·풍향 데이터를 구축하였으며, 결측값을 제외하고, 2017년 기준 기온 218,349건, 강수량 209,687건, 풍속 218,186건, 풍향 218,116건의 데이터가 구축되었다. 구축된 각각의 자료들을 자치구 및 시간을 기준으로 하나의 데이터 셋으로 매칭시켰다.
2. 분석모형
본 연구의 목적은 교통체증이 미세먼지에 미치는 영향을 규명하는 데 있다. 이를 위해, 본 연구는 서울시 2017년 1년간의 교통속도 및 미세먼지 빅데이터를 시간 단위로 수집하여 시계열 자료와 횡단면자료의 결합 형태인 패널모형을 구축하였다. 패널모형은 기본적으로 일반회귀모형의 형태에 특정 기간을 누적하는 방식의 분석형태로 구성된다는 특징이 있으며, 일반적인 회귀분석에서 독립변인만으로 설명되지 않은 오차항(ϵit)에 개체특성효과와 시간특성효과를 구분해 효율적인 모수 기울기 추정이 가능하다(박종훈 외, 2017). 미세먼지는 시간에 따라 그리고 지역에 따라 차이를 보이기 때문에, 본 연구에서는 시간과 공간효과를 통제한 고정효과모형을 사용한다. 구체적인 분석모형은 아래의 식과 같다.
여기서 Pit는 i지역·t시점의 미세먼지 및 초미세먼지 농도, Cit 는 i지역·t시점의 교통체증지수, Xit 는 i지역·t시점의 기상변수, ηi는 지역고정효과, ωt는 시간고정효과, ϵit는 오차항을 의미한다. 다시 설명하면, 본 연구의 종속변수는 미세먼지 및 초미세먼지 농도이며, 관심변수는 교통체증지수이다. 통제변수(기상변수)로 기온·강수량·풍속·풍향벡터를 사용하였다. 분석에 활용된 모든 변수는 공간적인 분포가 균일하지 않고, 시간대별로도 일정하지 않기 때문에 고정효과(fixed-effects) 모형을 활용하여 지역별, 시간별 변화요인을 통제하였다. 또한, 각각의 변수들은 도시인구의 생활특성에 따라 요일에 따라서도 서로 다른 패턴이 나타나기 때문에 요일에 대한 효과도 고정효과 모형으로 통제하였다.
또한, 각 변수의 영향력은 대기질 상태와 시간대별로 다를 가능성이 있기 때문에, 미세먼지 및 초미세먼지의 예보판정과 통근시간을 기준으로 구분하는 세부모형을 설정하여 분석에 추가하였다. 예를 들어, 농도별 미세먼지 및 초미세먼지 모형은 대기정보 예보판정이 “좋음”(미세먼지: 35μg/m3 이하, 초미세먼지: 15μg/m3 이하)일 때와 “나쁨”(미세먼지: 80μg/m3 초과, 초미세먼지: 35μg/m3 초과)일 때로 구분하며, 통근시간 모형은 통근시간(rush hour, 오전 7~9시 및 오후 5~7시)과 비통근 시간(non-rush hour, 통근시간을 제외한 시간)으로 모형을 구분하여 추가분석을 진행하였다.
패널모형은 오차항을 구성하는 개체특성과 시간특성에 대한 효과를 고려하는 방식에 따라 모형을 세부적으로 구분하는데, 각 특성을 고정된 상수항으로 가정할 경우 고정효과모형(Fixed-Effects Model)으로, 무작위 확률항으로 가정할 경우 확률효과모형(Random-Effects Model)으로 세분화한다. 고정효과 모형과 확률효과 모형의 가장 큰 차이는 오차항의 개체특성과 시간특성을 전자는 모수로 간주하는 반면, 후자는 확률변수로 간주한다는 것이며, 본 연구에서 사용한 고정효과모형이 적합한지에 대해서는 하우스만 검정(Hausman Test)을 통해 확인하였다.
3. 변수구성
교통체증 외에도 미세먼지 및 초미세먼지 농도에 영향을 미치는 요인을 선행연구와 사용가능한 자료를 기반으로 선정하였다. 미세먼지에 영향을 미치는 다양한 변수들을 분석에 포함시키는 것이 가장 좋지만, 본 연구는 분석의 시간단위가 시(Hour)로 시간대별로 변화하는 변수를 찾기는 쉽지 않다. 따라서 앞에서 설명한 서울시 기상정보 자료를 기반으로 기온·강수량·풍속·풍향벡터를 통제변수로 사용하였으며. 최종적으로 선정된 변수목록은 <표 1>과 같다.
기온·강수량·풍속은 일반적으로 대기오염물질 총 배출량에 영향을 주지 않지만 대기 중에 포함된 미세먼지 및 초미세먼지 농도를 조절하는 요인으로 작용한다고 보고되고 있다. 기온이 낮은 봄·겨울철에는 대기가 안정화되어 대기 중 오염물질이 정체됨에 따라 대기오염물질 배출 총량이 적을지라도 미세먼지 및 초미세먼지 농도가 증가하고, 도시민의 건강에 부정적인 영향을 줄 가능성이 높다. 반면, 기온이 높은 여름철에는 대기가 불안정하고, 강수확률이 높아 대기오염물질의 이동이 원활해 미세먼지 및 초미세먼지 농도가 다른 계절에 비해 상대적으로 낮은 것으로 보고되고 있다(한정민 외, 2017). 따라서, 본 연구에서 사용된 통제변수들은 미세먼지 및 초미세먼지의 농도변화와 밀접한 관련이 있을 것으로 여겨진다.
Ⅳ. 실증분석
1. 기술통계 및 데이터분석
분석에 활용된 변수의 기술통계는 <표 2>와 같다. 미세먼지(PM10)는 분포값이 최소 1μg/m3에서 최대 423μg/m3로 범위가 크지만, 2017년의 평균 미세먼지 농도는 46.41μg/m3로 대기환경기준인 50μg/m3(연평균 기준)6)이하로 나타났으며, 표준편차를 고려했을 때 대부분 예보기준으로 “보통”보다 양호한 대기질이 유지되었을 가능성이 높다. 하지만, 연중 일시적으로 평균 농도의 9.2배에 달하는 고농도 미세먼지가 발생하는 때가 있었던 것으로 나타났다. 초미세먼지(PM2.5)는 연평균 농도가 24.6μg/m3로 나타나 일평균 제한수준인 35μg/m3보다 낮은 수준으로 유지되었고, 평균 농도의 7배에 해당하는 고농도의 초미세먼지 농도가 발생한 시기도 있는 것으로 나타났다.
서울시의 교통체증지수 평균값은 약 1.7로 실제통행시간이 제한속도의 80% 속도일 때보다 1.7배 느린 것으로 나타났으며, 표준편차(S.D)를 고려하였을 때 대부분의 링크구간에서 제한속도의 47% 수준으로 이동했을 것으로 보인다. 기온은 여름철 최고기온이 36.4℃에서 겨울철 최저기온이 -17.5℃로 연간 기온 차는 총 53.9℃이었으며, 평균 기온은 13.05℃로 나타났다. 강수량은 여름철 우기에 시간당 56.5mm의 강도가 강한 강우가 발생한 이력이 있지만, 연간 시점별 평균 강우량이 0.13mm/h로 우기 이외의 시기에는 강우가 거의 발생하지 않았을 것으로 추정된다. 풍속은 유동이 없는 0m/sec에서 최대 11m/sec의 분포를 나타내고 있어 강풍주의보(14m/sec 이상)에 해당하는 풍속은 발생하지 않은 것으로 나타났고, 평균 풍속은 1.7m/sec로 전국 평균인 1.9m/sec보다 낮은 것으로 나타났다.
우선적으로, 데이터 상에 나타난 각 변수들의 시계열적 분포를 관찰하기 위해 미세먼지(PM10)와 초미세먼지(PM2.5)의 농도와 교통체증지수, 기온, 강수량, 풍속 자료의 2017년 1년간의 시간적 변화를 살펴보았다. <그림 1>은 모든 변수들을 하나의 그래프 상에 나타낸 형태이고, <그림 2>는 각 변수들의 시간적 변화를 나타낸 그래프이다. 각 변수들의 단위가 다르기 때문에 <그림 1>에서는 미세먼지의 농도가 상대적으로 높아 보이지만, <그림 2>와 같이 각 변수들의 시간적 변화도 다양함을 알 수 있었다. 미세먼지 농도는 대체로 100μg/m3 미만에서 분포하였으며, 드물게 300μg/m3 수준으로 치솟았는데 대기가 정체되는 2-5월 사이에 농도가 높고 대기가 불안정한 여름·가을철 대기오염 농도가 낮아 계절에 따른 변화가 뚜렷하게 나타났다. 이와 같은 경향은 초미세먼지 농도에서도 유사하게 나타났다. 교통체증지수는 대부분 1.5에서 2사이에 분포하는 경향으로 시각적으로는 뚜렷한 패턴이 나타나지 않았다. 강수량은 예상대로 여름철에 높게 나타났으며, 풍속의 경우 겨울철에 더 높은 값들이 많이 분포하고 있는 경향이 나타남을 알 수 있었다. 하지만, 이러한 데이터상의 변화만으로는 각각의 변수들과 미세먼지 농도와의 관계가 뚜렷이 나타나지 않아, 통계적인 분석이 필요할 것으로 여겨진다.
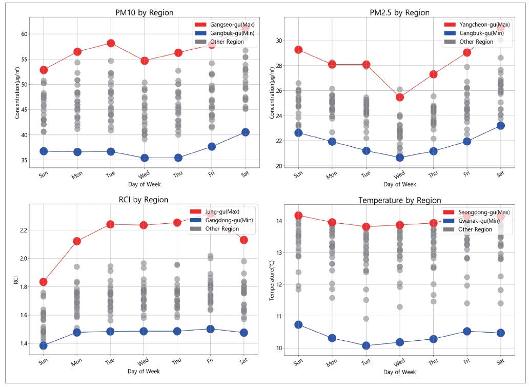
<그림 3>은 25개 자치구의 2017년 한 해의 미세먼지, 초미세먼지, 교통체증지수, 기온의 변화를 나타낸 그래프이다. 2017년 연평균 미세먼지 농도가 가장 높은 자치구는 강서구로 56.8μg/m3를 기록해 대기환경기준(연평균 50μg/m3)을 충족하지 못한 반면, 강북구는 37.0μg/m3로 25개 자치구 중 가장 낮았고, 대기환경기준을 충족했다. 두 자치구의 미세먼지 농도 분포를 살펴보면, 강서구는 서울시 연평균 미세먼지 농도 수준인 46.4μg/m3를 대부분 웃도는 수준인 반면, 강북구는 봄철을 제외하고는 대부분 서울시 연평균 미세먼지 농도 수준에 미치지 못했다. 즉, 서울시 내에서도 자치구마다 대기질이 상이하고, 미시적 수준에서의 시공간적 영향이 발생하는 것으로 볼 수 있다. 이와 같은 공간적인 분포차이는 모든 변수들에서 동일하게 관측된다. 연평균 초미세먼지 농도는 양천구가 28.3μg/m3으로 가장 높았고, 강북구가 21.8μg/m3으로 가장 낮았으며, 연평균 교통체증지수는 중구가 2.16으로 가장 높았고, 강동구가 1.47로 가장 낮으며, 연평균 기온은 성동구가 14.0℃로 가장 높고, 관악구가 10.4℃로 가장 낮아 대부분의 변수들에서 지역적인 차이가 뚜렷하게 나타나는 것으로 확인되었다.
<그림 4>는 각 변수들의 요일별 평균값을 비교한 그래프로 <그림 3>과 마찬가지로 25개 자치구간의 차이를 보여준다. 미세먼지와 초미세먼지 모두 일·수요일에 낮고, 금·토요일에 높아지는 특성을 보였다. 교통체증지수는 일·월요일이 가장 낮고, 금요일에 가장 높았다. <그림 5>는 2017년 연중 미세먼지 농도가 가장 높았던 5월 6일 오전 8시부터 오후 10시까지의 미세먼지 농도와 교통속도를 보여준다. 미세먼지 농도는 「대기오염측정자료」를 활용해 보간(Interpolation)하였고, 교통체증지수는 도로 링크별로 표현하였다. 그림에서 나타난 것과 같이 시간의 변화와 지역에 따라 미세먼지 농도와 교통체증의 차이가 복잡하게 나타남을 확인할 수 있다. 미세먼지는 공간적으로 다양하게 분포하기 때문에 구별 평균치 자료를 사용하는 것에 한계가 존재하지만, 서울시에서 제공하는 미세먼지 자료는 대부분이 각 구별 대표적인 측정소에서 측정되는 값에 기반하기 때문에 구별 평균자료를 사용하기에는 무리가 없다고 판단된다. 이처럼 대기질과 교통체증은 공간적, 시간적으로 차이가 뚜렷하기 때문에 정밀한 통계분석을 위해서는 시공간적 효과를 적절히 제어할 수 있는 분석방법론의 적용이 필요하다고 할 수 있다.
본 연구에서 활용된 변수에 대한 변수 간 상관관계를 분석하였다(<그림 6> 참조). 상관분석은 분석에 활용된 독립변수 간 영향관계 외에도 통계기법을 적용한 분석 시 발생할 수 있는 다중공선성(Multicollinearity) 여부를 진단하는 데 유용하다. 상관분석결과 종속변수인 미세먼지와 초미세먼지를 제외하고 대부분 상관관계가 0.5 미만으로 나타났고, 상관관계가 있어도 미약한 것으로 판단되었다.
따라서 다중공선성의 문제는 없을 것으로 판단된다. 산출된 상관계수를 살펴보면 미세먼지 농도는 초미세먼지 농도와 강한 양(+)의 상관관계가 있고, 교통체증지수와는 상관관계가 거의 없는 것으로 나타났다. 반면, 기온 및 강수량과는 다소 음(-)의 상관관계가 있었으며, 풍속과 상관관계가 거의 없는 것으로 나타났다. 이와 같은 경향은 초미세먼지 농도와 독립변수 간 상관관계에서도 유사하게 나타났다. 미세먼지 및 초미세먼지 농도는 공통적으로 모든 기상 변수와 음(-)의 상관관계가 있으며, 반대로 교통체증지수와 기상 변수 간에는 양(+)의 상관관계가 있는 것으로 나타났다.
2. 패널모형 분석결과
미세먼지에 대한 교통체증지수의 영향력은 통제변수의 유무에 따라서 방향성과 크기가 달라질 수 있다. <모형 1-1>은 미세먼지 농도에 영향인자로 교통체증지수만을 포함시킨 모형, <모형 1-2>는 교통체증지수에 기온, 강수량, 풍속 변수를 추가한 모형, <모형 1-3>은 풍속변수에 풍향변수를 곱한 풍속×풍향 교차변수를 추가한 모형, <모형 1-4>는 모든 변수를 고려함과 동시에 시간고정효과를 추가한 모형이다. 이때 고정효과에는 지역별, 요일별 시간효과를 고려하였다. 모든 모형에서 계수 간의 큰 차이가 나타나지 않는 것으로 미루어 모형이 적절하게 설정되었음을 알 수 있다. 하우스만검정 결과 최종모형은 예상한대로 고정효과 모형이 우세한 것으로 나타났기에, 최종적으로 <모형 1-4>를 토대로 결과를 해석하고자 한다(<표 3> 참조).
먼저, 본 연구의 가장 중요한 변수인 교통체증지수(RCI)는 예상과 같이 양의 방향으로 유의한 것으로 나타났다. 즉, 교통체증지수가 증가할수록 미세먼지 농도는 증가한다고 할 수 있다. 이는, 교통체증 발생 시 차량이 저속의 상태로 도로에 머무르는 시간이 증가하고, 교통이 원활할 때에 비해 차량에서 배출되는 미세먼지 발생량이 증가되어 미세먼지 농도가 높아지기 때문이라고 할 수 있다. 구체적으로 살펴보면, 교통체증지수가 한 단위 증가하면, 미세먼지 농도는 3.3μg/m3 증가하는 것으로 나타났다. 해석하면, 자치구의 교통체증이 심해져 제한속도의 80% 수준으로 통행할 때에 비해 이동시간이 2배 증가하면 미세먼지 농도가 3.3μg/m3 증가한다고 할 수 있다. 즉, 도로에 교통량이 증가하면 미세먼지가 증가한다는 일반적인 통념을 넘어, 교통체증으로 인해 차량의 속도가 감소하게 되면 미세먼지의 농도증가가 더욱 심해질 수 있다는 실증적 결과이다. 이러한 결과는 향후 미세먼지 저감조치를 위한 교통정책의 방향이 단순히 통행량의 감소를 넘어 다양해질 필요가 있음을 시사한다.
통제변수의 영향력을 살펴보면, 기온, 강우량, 풍속은 모두 미세먼지와 음의 관계를 나타내었다. 즉, 기온이 상승하고, 강우량이 증가하고, 풍속이 증가하면, 미세먼지 농도는 감소하는 것으로 나타났다. 구체적으로 해석하면, 기온이 10℃ 상승할 때 미세먼지 농도는 4.3μg/m3, 강우(Rainfall)가 발생해 강수량이 10mm/h 증가할 때 미세먼지 농도는 13.9μg/m3, 풍속이 10m/sec 증가할 때 미세먼지 농도는 21.7μg/m3 개선되는 것으로 분석되었다. 풍향은 북동풍과 동풍, 남동풍이 불어올 때 미세먼지 농도가 개선되는 한편, 남풍을 비롯해 서풍계열의 바람이 불면 미세먼지 농도가 악화되는 것으로 나타났다. 이는 중국에서 넘어오는 월경성 오염물질 유입에 따라 대기질이 악화되는 것으로 판단된다.
미세먼지 모형과 유사하게 교통체증이 초미세먼지에 어떠한 영향을 미치는지에 관한 분석도 진행하였으며, 결과는 <표 4>와 같다. 모형의 안정성을 확인하기 위해 앞에서와 같이 4단계로 모형을 구성하였다. 교통체증지수는 초미세먼지와 양(+)의 관계로 나타났다. 즉, 교통체증지수가 증가하면 초미세먼지도 함께 증가하는 것으로 나타났다. <모형 2-1>에서만 교통체증지수가 음(-)의 결과가 나타났는데, 이는 미세먼지에 영향을 미치는 다른 변수들을 통제하지 않았기 때문으로 판단된다. 즉, 초미세먼지 농도에 영향을 미치는 다른 변수들을 통제해야 교통체증 사이의 관계를 정밀하게 추정할 수 있음을 시사한다. <모형 2-4>를 기준으로 해석을 하면, 교통체증지수(RCI)가 한 단위 증가하면, 초미세먼지 농도는 약 1.7μg/m3 증가하는 것으로 나타났다. 즉, 자치구의 교통체증이 심해져 제한속도의 80% 수준으로 통행할 때에 비해 이동시간이 2배 증가하면 초미세먼지 농도가 1.7μg/m3 증가한다고 할 수 있다.
통제변수들을 살펴보면, 미세먼지와 마찬가지로 기온, 강수량, 풍속은 모두 초미세먼지 농도와 부(-)의 관계가 있는 것으로 추정되었고, 동풍 계열의 바람이 불 때 초미세먼지 농도가 개선되었으며, 남동풍을 비롯해 서풍계열의 바람이 불 때 초미세먼지 농도가 악화되는 것으로 나타났다. 즉, 초미세먼지도 미세먼지와 마찬가지로 중국에서 넘어오는 월경성 오염물질에 영향을 받는 것으로 판단할 수 있다. 구체적으로 보면, 기온이 10℃ 증가할 때 초미세먼지 농도는 3.3μg/m3, 강우가 발생해 강수량이 10mm/h 증가할 때 초미세먼지 농도는 5.5㎍/㎥, 풍속이 10m/sec 증가할 때 초미세먼지 농도 35.9μg/m3이 감소해 대기질이 개선되는 것으로 추정되었다.
서울시의 일평균 미세먼지 농도는 예보기준7) 좋음일 수가 91일로 1년 중 약 25% 수준이고, 예보기준 나쁨일 수가 24일로 약 7% 수준이다. 초미세먼지의 경우 예보기준 좋음일 수가 95일로 1년 중 약 26% 수준이고, 나쁨일 수가 약 68일로 약 19% 수준이다. 미세먼지와 초미세먼지의 나쁨일 수 차이가 44일로 한 달 이상 일치하지 않는다. 다시 말해 미세먼지는 보통 또는 좋음 정도의 농도로 관측되어도 초미세먼지는 나쁨 또는 매우 나쁨의 농도일 가능성이 있다. 이처럼 미세먼지와 초미세먼지 판정이 일치하지 않기 때문에 미세먼지에 영향을 미치는 요인들의 영향력도 다를 수 있다. 이에 교통체증지수가 미세먼지/초미세먼지가 좋음(PM10≦30μg/m3, PM2.5≦15μg/m3)일 때와 나쁨(PM10>80μg/m3, PM2.5>35μg/m3)일 때에 미치는 영향력의 차이를 추가적으로 분석하였다.
분석결과 <표 5>에 나타난 것처럼, 미세먼지와 초미세먼지가 좋음일 때와 나쁨일 때에 상관없이 교통체증지수는 모두 정(+)의 효과가 있는 것으로 분석되었다. 계수값을 해석하면, 미세먼지가 나쁨(일평균 미세먼지 농도가 80μg/m3 초과로 예보)일 때 교통체증지수의 한 단위 상승은 미세먼지 농도를 2.5μg/m3 악화시키고, 미세먼지가 좋음(일평균 미세먼지 농도가 30μg/m3 이하로 예보)일 때 교통체증지수의 한 단위 상승은 미세먼지 농도를 4.5μg/m3 악화시키는 것으로 추정되었다.
초미세먼지의 경우 나쁨(일평균 초미세먼지 농도가 35μg/m3 초과로 예보)일 때 교통체증지수의 한 단위 상승은 초미세먼지 농도를 4.8μg/m3 악화시키고, 좋음(일평균 초미세먼지 농도가 15μg/m3 이하로 예보)일 때 1.3μg/m3 악화시키는 것으로 추정되었다. 즉, 교통체증지수는 미세먼지가 나쁨일 때보다 좋음일 때 미세먼지 증가에 더 큰 영향을 주는 요인이며, 반대로 초미세먼지가 좋음일 때보다 나쁨일 때 더 큰 영향을 주는 요인이라고 할 수 있다. 따라서 교통체증은 대기질이 좋지 않은 상황에서 도시민의 건강에 더욱 치명적인 피해를 입히는 것으로 알려진 초미세먼지 농도를 더욱 악화시키는 원인 중에 하나라고 할 수 있다.
통행량이 많아지는 통근시간과 비통근시간의 교통체증이 미세먼지에 미치는 영향에 대해 살펴보기 위해 추가분석을 실시하였다. 이때 통근시간은 오전 7~9시, 오후 5~7시로, 비통근시간은 오전 9~오후 5시, 오후 7~익일 오전 6시로 구분하였다. <표 6>의 결과처럼, 통근시간대에 관계없이 교통체증지수는 모든 시간대에서 미세먼지와 초미세먼지 농도에 정(+)의 영향을 미치는 것으로 추정되었다. 놀라운 사실은, 일반적으로 교통체증이 더욱 심한 것으로 알려진 통근시간대보다 비통근시간대에 교통체증이 미세먼지에 미치는 영향력이 더 큰 것으로 나타났다. 계수값을 살펴보면, 통근시간대에 교통체증지수의 한 단위 증가는 미세먼지 농도를 2.6μg/m3 초미세먼지 농도를 0.9μg/m3 각각 증가시키는 것으로 나타났고, 반대로 비통근시간대에 교통체증지수의 한 단위 증가는 미세먼지 농도를 7.6μg/m3, 초미세먼지 농도를 2.2μg/m3 증가시키는 것으로 추정되었다.
이는 아마도 통근시간대보다는 비통근시간대에 미세먼지가 대기 중에 정체되어 있는 현상이 심하기 때문으로 판단된다. 또한, 통근시간에 비해 비통근시간대에 미세먼지 및 초미세먼지의 농도에 대한 교통체증지수의 영향력이 높은 것은 시간대별 통행목적이 다르기 때문일 수도 있다. 가령 교통량이 일시에 도로로 유입되는 통근시간대에 도로의 체증정도는 더욱 심하겠지만, 이 시기에 운행되는 차량은 대부분 출퇴근을 목적으로 하는 개인 이동수단일 가능성이 높은 반면, 비통근시간대에는 교통체증은 통근시간대에 비해 상대적으로 덜할 수 있어도 이때 운행되는 차량 중에는 트럭과 같은 생산활동을 목적으로 하는 이동수단이 포함될 가능성이 높고, 미세먼지 및 초미세먼지를 더 많이 배출하는 노후경유차의 운행이 통근시기에 비해 많을 수 있기 때문이다. 따라서 이러한 결과는 미세먼지를 줄이기 위해 교통체증을 줄여야 하는 시간대가 구조적으로 정체현상이 심한 통근시간대보다는 비통근시간대일 필요성이 있음을 시사한다. 하지만, 이에 대한 구체적인 논의를 위해서는 통근수단을 고려한 교통체증지수를 산출해 보다 자세하고 세부적인 검증이 요구된다. 이에 대해서는 추후 연구가 필요함을 밝혀둔다.
마지막으로, 통근시간대에도 풍향을 제외한 모든 기상여건은 미세먼지 및 초미세먼지의 농도에 부(-)의 효과가 있었으며, 남동풍 및 서풍계열의 바람이 불 때 미세먼지 및 초미세먼지의 농도를 악화시키고 북동풍 및 동풍이 불 때 미세먼지 및 초미세먼지의 농도가 개선되는 것으로 나타났다. 이러한 결과는 중국발 미세먼지의 영향이 통근시간대에도 여전히 존재할 수 있음을 시사한다.
Ⅴ. 결론 및 시사점
서울시를 비롯한 국내의 많은 도시들에서는 미세먼지와 초미세먼지를 줄여나가기 위한 다양한 정책이 시행되고 있다. 특히, 미세먼지의 주요 유발요인 중 하나인 자동차의 배기가스량을 줄이기 위해 다양한 교통수요 억제 및 관리 정책이 시도되고 있지만, 그 실효성은 불분명하다. 미세먼지를 줄이기 위한 교통정책을 보다 효과적으로 시행하기 위해서는 미세먼지와 교통 간의 관계에 대한 학술적·정책적 연구가 뒷받침되어야만 하며, 실증분석을 기반으로 한 논의를 통해 보다 합리적인 정책을 수립해야 한다. 이에 본 연구는 교통체증과 미세먼지와의 관계를 실증적으로 분석함으로써 교통정책에 대한 시사점을 찾고자 하였다. 이를 위해, 서울시를 대상으로 2017년 한 해의 미세먼지, 교통속도, 기상요인과 관련된 시간단위 빅데이터를 수집하였으며, 교통체증지수(RCI)를 활용해 교통체증의 정도를 산정한 후 고정효과 패널모형을 구축하여 교통체증이 미세먼지와 초미세먼지 농도에 미치는 영향을 분석하였다.
주요 연구결과는 다음과 같이 요약된다. 첫째, 교통체증은 미세먼지와 초미세먼지를 증가시키는 요인으로 나타났다. 예를 들어, 교통체증지수가 한 단위 증가하면, 미세먼지 농도는 3.3μg/m3, 초미세먼지 농도는 약 1.7μg/m3 증가하는 것으로 나타났다. 바꾸어 말하면, 교통체증을 한 단위 감소시키면, 미세먼지 농도를 3.3μg/m3, 초미세먼지 농도를 약 1.7μg/m3 감소시키는 효과가 있다고도 할 수 있다. 교통체증을 한 단위 감소시킨다는 의미는 다음과 같다. 제한속도의 80% 수준으로 통행할 수 있는 소요시간을 1로 봤을 때, 소요시간이 2배가 걸리면 교통체증이 한 단위 증가한 것과 같다. 거꾸로, 소요시간이 2배가 걸리는 상황을 원상복귀시키는 것이 교통체증의 한 단위 감소의 의미라고 할 수 있다. 이는, 같은 조건 하에서 교통정체가 한 단위 개선될수록 미세먼지 농도는 시간당 2.4mm의 강우가 발생한 것과 같은 효과가 있으며, 초미세먼지 농도는 시간당 3.1mm의 강우가 발생한 것과 동일한 효과가 있는 것으로 추정된다. 교통체증지수를 한 단위나 감소시키는 일이 쉬운 일이 아니다. 그럼에도 불구하고 교통량의 감소와 더불어 효과적인 교통정책을 통한 교통체증의 감소가 이어진다면, 미세먼지를 저감시키는 데 도움이 될 수 있다.
둘째, 미세먼지가 좋음(저농도)일 때와 나쁨(고농도)일 때의 교통체증이 미세먼지와 초미세먼지에 미치는 영향에는 차이가 존재하는 것으로 나타났다. 다시 말해, 교통체증이 미세먼지를 유발하는 영향정도는 저농도일 때가 더 컸으며, 초미세먼지를 유발하는 영향정도는 고농도일 때가 더 컸다. 예를 들어, 저농도일 때 교통체증지수를 한 단위 개선하면 미세먼지 농도는 4.5μg/m3, 고농도일 때 교통체증지수를 한 단위 개선하면 미세먼지 농도는 2.5μg/m3개선되는 것으로 추정되었다. 반대로, 고농도 초미세먼지 발생 시 교통체증지수의 한 단위 개선은 약 4.8μg/m3의 초미세먼지 농도를 개선하는 반면, 저농도 초미세먼지 발생 시 교통체증지수의 한 단위 개선은 약 1.3μg/m3의 초미세먼지 농도를 개선하는 것으로 추정되었다. 왜 이러한 차이가 발생하는지에 관해서는 교통배기가스 발생의 공학적인 연구가 뒷받침되어야 할 것으로 보이지만, 도시민의 건강에 상대적으로 더 취약하게 작용하는 물질이 초미세먼지임을 감안할 때 고농도 초미세먼지발생시 적극적인 교통정책을 펼칠 필요가 있을 것으로 보인다.
셋째, 교통체증이 미세먼지 발생에 미치는 영향은 통근시간대와 비통근시간대에 서로 다른 것으로 나타났다. 통근시간대에 비해 비통근시간대에 교통체증에 의한 영향력이 미세먼지 및 초미세먼지의 농도에 민감하게 작용하는 것으로 분석되었다. 구체적으로 살펴보면, 통근시간대에 교통체증지수 한 단위 완화에 의한 미세먼지 농도 개선효과는 2.6μg/m3인 반면, 비통근시간대에는 7.58μg/m3으로 다소 큰 차이를 보였다. 이러한 경향은 초미세먼지에서도 동일하게 분석되었는데 통근시간대에 교통체증개선에 따른 초미세먼지 농도 저감 효과는 0.9μg/m3인 반면, 비통근시간대에는 2.2μg/m3 분석되었다. 이와 같은 분석결과는 양 기간에 운행되는 교통의 목적과 차량의 종류가 다름에서 발생하는 차이로 생각해볼 수 있다. 중요한 사실은 비통근시간대의 교통체증을 줄이려는 정책은 그 효과가 전체모형에 비해 3배나 높다는 점이다. 즉, 다른 어느 때보다도 비통근시간대에 도시 내 교통체증을 줄이는 정책은 미세먼지를 저감시키는 데 기여할 수 있을 것으로 여겨진다.
또한, 본 연구에서 도출된 교통체증 완화에 따른 대기질 개선효과는 시간당 평균값이기 때문에 실제 대기질 개선 효과는 수치적으로 클 것으로 예상된다. 미세먼지 발생 총량을 관리하기 위해 지속해온 정책이 대기질을 개선하기 위한 장기적 접근이었다면, 교통정체를 개선해 미세먼지 농도를 완화하기 위한 정책적 노력을 단기적 접근으로 하여 병행한다면 대기질 개선 효과를 높일 수 있을 것으로 기대한다.
본 연구는 현재까지 진행되지 못했던 교통체증이 미세먼지에 미치는 영향에 대한 실증적인 분석을 진행하였다는 데 그 의의가 있다. 또한, 최근 개방된 미세먼지, 교통, 기상 빅데이터를 활용해 미시적인 시간단위에서 교통과 미세먼지의 관계를 연구하고자 했다는 데 큰 의미를 둘 수 있다. 우려되는 점은, 미세먼지의 물리적 특성상 고농도 미세먼지 발생은 중국발 미세먼지의 영향을 받는 경우가 있고, 화력발전소에서 발생하는 고농도 오염물질과 건설현장에서 발생하는 비산먼지 등 산업 전반에 걸쳐 발생하는 대기오염물질 등을 고려하지 못한 한계가 있다. 특히, 대기오염물질의 이동을 저해하는 지형적 요인과 미세먼지 농도를 완화하는 데 기여하는 토지이용(녹지)에 대한 고려가 이루어지지 않았다. 그 이유는 미세먼지와 관련된 모든 변수를 모두 고려할 경우 시점(시간)별 변화를 동태적으로 확인하기 어려운 연구방법론적 한계가 있기 때문이다. 그럼에도 불구하고, 고정효과 패널모형을 활용해 단기간(본 연구의 경우 2017년 한 해)에는 쉽게 변하지 않는 토지이용 특성과 각 지역별 건설현장 및 오염물질 배출원에 대한 영향력을 통제하고자 하였다. 향후에는 다양한 빅데이터를 활용해 보다 많은 변수들을 고려함과 동시에 장기간 시점에 대한 연구가 필요하다. 예를 들어, 교통체증을 정확히 추정하기 위해서는 교통량정보가 필요한데, 현재에는 다양한 지점에서 교통량정보를 확보할 수 없다. 만약, 현재 측정되고 있는 145개의 관측소보다 더욱 많은 관측소에서 교통량을 관측하여 정보가 쌓인다면, 보다 정확한 교통체증에 대한 추정이 가능할 것으로 판단된다. 마지막으로, 교통체증과 미세먼지에 관한 연구를 보다 미시적으로 수행하기 위해서는, 대기오염 측정소와 인접한 지역에서의 교통체증에 대한 관측자료만을 추출하여서 이 둘의 직접적인 관계를 살펴볼 필요가 있다. 향후에는 이와 같은 보다 미시적인 수준의 후속연구가 진행되길 희망한다.
Acknowledgments
이 논문은 2014년도 중앙대학교 신입생성적우수장학금의 지원에 의하여 작성되었음.
References
-
김운수·엄진기·황기연·장지희, 1999. “교통 수요관리 기법을 활용한 환경오염비용의 내부화 방안연구”, 「대한교통학회지」, 17(4): 99-110.
Kim, W.S., Eom, J.K., Hwang K.Y., and Jang, J.H., 1999. “Internalizing Environmental Cost Using TDM Alternatives”, Journal of Korean Society of Transportation, 17(4): 99-110. -
김혜원·이정욱, 2019. “미세먼지 저감을 위한 서울시의 대중교통 무료 운행 정책은 왜 실패했는가? - 정치적 관리의 관점을 중심으로”, 「지방정부연구」, 22(4): 99-125.
Kim, H.W. and Lee, J.W., 2019. “Why did Seoul’s Free Public Transportation Program for Reducing Fine Particulate Matter Fail?: A Political Management Perspective”, The Korean Journal of Local Governmental Studies, 22(4): 99-125. [https://doi.org/10.20484/klog.22.4.5]
-
박종훈·임형백·이성우, 2017. “패널모형을 적용한 5대 범죄발생의 결정요인에 관한 연구”, 「한국지역개발학회지」, 29(2): 133-160
Park, J.H., Lim, H.B., and Lee, S.W., 2017. “Determinants of the Five Major Crime Incidences in Seoul : Application of Panel Models”, Journal of The Korean Regional Development Association, 29(2): 133-160. -
복기찬·이승준·최윤혁·강정규·이승환, 2009. “고속도로 소통상태지수 개발에 관한 연구”, 「대한교통학회지」, 27(5): 85-95.
Bok, G.C., Lee, S.J., Choi Y.H., Kang, J.G., and Lee, S.H., 2009, “Development of a Traffic Condition Index(TCI) on Expressways”, Journal of Korean Society of Transportation, 27(5): 85-95. -
박충선, 2017. “2015년 서울시 미세먼지농도의 변화와 기상 조건과의 관련성”, 「한국사진지리학회지」, 27(2): 47-64.
Park, C.S., 2017. “Variations of PM10 Concentration in Seoul during 2015 and Relationships to Weather Condition”, Journal of the Association of Korean Photo-Geographers, 27(2): 47-64. [https://doi.org/10.35149/jakpg.2017.27.2.004]
-
신문기·이충대·하현섭·최춘석·김용희, 2007. “기상인자가 미세먼지 농도에 미치는 영향”, 「한국대기환경학회지」, 23(3): 322-331.
Shin, M.K., Lee, C.D., Ha, H.S., Choe, C.S., and Kim, Y.H., 2007. “The Influence of Meteorological Factors on PM₁₀ Concentration in Incheon”, Journal of Korean Society for Atmospheric Environment, 23(3): 322-331. [https://doi.org/10.5572/KOSAE.2007.23.3.322]
-
이금숙, 2008. “교통흐름에 기인하는 미세먼지 노출 도시인구에 대한 시공간적 분석”, 「한국경제지리학회지」, 11(1): 59-77.
Lee, K.S., 2008. “Spacio-Temporal Analysis of Urban Population Exposure to Traffic-Related Air Pollution”, Journal of the Economic Geographical Society of Korea, 11(1): 59-77. [https://doi.org/10.23841/egsk.2008.11.1.59]
-
이종현·김영민·김용구, 2017. “공간패널모형을 이용한 국내 초미세먼지 농도에 대한 분석”, 「한국데이터정보과학학회지」, 28(3): 473-418.
Lee, J.H., Kim, Y.M., and Kim, Y.K., 2017. “Spatial Panel Analysis for PM2.5 Concentrations in Korea”, Journal of the Korean Data & Information Science Society, 28(3): 473-418. -
정종철·이상훈, 2018. “서울시 토지이용과 교통량에 따른 미세 먼지의 공간분포”, 「지적과 국토정보」, 48(1): 123- 138.
Jeong, J.C. and Lee, S.H., 2018. “Spatial Distribution of Particulate Matters in comparison with Land-use and Traffic volume in Seoul, Republic of Korea”, Journal of Cadastre & Land Informatix, 48(1): 123-138. -
최기주·장정아·정재영·심상우, 2004. “교통정보제공을 위한 GPS/GIS기반의 실시간 혼잡지표개발”, 「대한공간정보학회지」, 12(4): 53-60.
Choi, K.C., Jang, J.A., Jeong, J,Y., and Shim, S,W., 2004. “Development of a GPS/GIS based Real-time Congestion Index for Traffic Information”, Journal of Korean Society for Geospatial Information Science, 12(4): 53-60. -
최태영·문호경·강다인·차재규, 2018. “서울시 토지피복에 따른 계절별 미세먼지 농도 차이 분석-산림과 시가화 지역을 중심으로”, 「환경영향평가」, 27(6): 635-646.
Choi, T.Y., Moon, H.G., Kang, D.I., and Cha, J.G., 2018. “Analysis of the Seasonal Concentration Differences of Particulate Matter according to Land Cover of Seoul - Focusing on Forest and Urbanized Area”, Journal of Environmental Impact Assessment, 27(6): 635-646. -
한정민·김재구·조기현, 2017. “오염 요인별 지역선정을 통한 대기-기상자료의 미세먼지 인과관계 검증”, 「한국빅데이터학회지」, 2(1): 17-26.
Han, J.M., Kim, J.G., and Cho, K.H, 2017. “Verify a Causal Relationship between Fine Dust and Air Condition-Weather Data in Selected Area by Contamination Factors”, The Korea Journal of BigData, 2(1): 17-26. -
Beevers, S.D. and Carslaw, D.C., 2005. “The Impact of Congestion Charging on Vehicle Emissions in London”, Atmospheric Environment, 39(1): 1-5.
[https://doi.org/10.1016/j.atmosenv.2004.10.001]
-
Chin, A.T.H., 1996. “Containing air pollution and traffic congestion: Transport policy and the environment in Singapore”, Atmospheric Environment, 30(5): 787-801.
[https://doi.org/10.1016/1352-2310(95)00173-5]
-
Etyemezian, V., Kuhns, H., Gillies, J., Chow, J., Hendrickson, K., McGown, M., and Pitchford, M., 2003. “Vehicle Based Road Dust Emission Measurement (III): Effect of Speed, Traffic Volume, Location, and Season on PM10 Road Dust Emissions in the Treasure Valley, ID”, Atmospheric Environment, 37(32): 4583-4593.
[https://doi.org/10.1016/S1352-2310(03)00530-2]
-
Gastaldi, M., Meneguzzer, C., Rossi, R., Lucia L.D., and Gecchele, G., 2014. “Evaluation of Air Pollution Impacts of a Signal Control to Roundabout Conversion Using Microsimulation”, Transportation Research Procedia, 3: 1031-1040.
[https://doi.org/10.1016/j.trpro.2014.10.083]
- Giri, D., Krishna Murthy, V., and Adhikary, P.R., 2008. “The Influence of Meteorological Conditions on PM10 Concentrations in Kathmandu Valley”, International Journal of Environmental Research, 2(1): 49-60.
-
Keuken, M.P., Jonkers, S., Wilmink, I.R., and Wesseling, J., 2010. “Reduced NOx and PM10 Emissions on Urban Motorways in The Netherlands by 80 km/h Speed Management”, Science of the Total Environment, 408(12): 2517-2526.
[https://doi.org/10.1016/j.scitotenv.2010.03.008]
-
Papson, A., Hartley, S., Kuo, K., 2012. “Analysis of Emissions at Congested and Uncongested Intersections with Motor Vehicle Emission Simulation 2010”, Transportation Research Record: Journal of the Transportation Research Board, 2270(1): 124-131.
[https://doi.org/10.3141/2270-15]
-
Unal, Y.S., Toros, H., Deniz A., and Incecik, S., 2011. “Influence of Meteorological Factors and Emission Sources on Spatial and Temporal Variations of PM10 Concentrations in Istanbul Metropolitan Area”, Atmospheric Environment, 45(31): 5504-5513.
[https://doi.org/10.1016/j.atmosenv.2011.06.039]
-
Weber, S., Kuttler, W., and Weber, K., 2006. “Flow Characteristics and Particle Mass and Number Concentration Variability within a Busy Urban Street Canyon”, Atmospheric Environment, 40(39): 7565-7578.
[https://doi.org/10.1016/j.atmosenv.2006.07.002]
-
Zwack, L.M., Paciorek, C.J., Spengler, J.D., and Levy, J.I., 2011. “Characterizing Local Traffic Contributions to Particulate Air Pollution in Street Canyons Using Mobile Monitoring Techniques”, Atmospheric Environment, 45(15): 2507-2514.
[https://doi.org/10.1016/j.atmosenv.2011.02.035]












